O critério de Tsai-Wu é aplicado para determinar o fator de segurança para cascas ortotrópicas compostas.
Este critério leva em consideração a energia de esforço total (ambas as energias de distorção e de dilatação) para prever falhas. Ele é mais geral do que o critério de falha de Tsai-Hill porque distingue entre as resistências a falhas de compressão e de tensão.
Para uma tensão plana de estado 2D (σ3 = 0, τ13 =0, τ23 =0), o critério de falha de Tsai-Wu é expresso como:

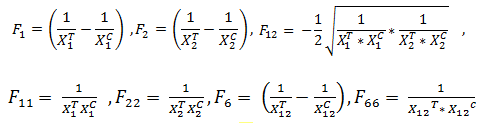
Os coeficientes Fij do critério de falha de Tsai-Wu ortotrópico são relacionados aos parâmetros de resistência de material da lâmina e são determinados por experimentos. Eles são calculados a partir das seguintes fórmulas:

XT1 |
resistência do material à tração do laminado na direção da fibra |
XC1 |
resistência do material à compressão do laminado na direção da fibra |
XT2 |
resistência do material à tração do laminado transversal a direção da fibra |
XC2 |
resistência do material à compressão do laminado transversal a direção da fibra |
XT12 |
resistência de cisalhamento positiva do laminado |
XC12 |
resistência de cisalhamento negativa do laminado (o solver a considera igual à resistência de cisalhamento positiva). |
O estado de tensão da lâmina calculado pelo programa é descrito pelos componentes: σ1, σ2 e τ12
σ1 |
tensão do laminado na direção da fibra |
σ2 |
tensão do laminado transversal à direção da fibra |
τ12 |
tensão de cisalhamento do laminado |
Direções das camadas de materiais compostos

A Direção 1 se refere à direção de orientação da fibra da camada.
A Direção 2 se refere à direção transversal da fibra no plano da camada.
Fator de segurança
O programa reporta o fator e segurança (FOS), que é o coeficiente pelo qual todos os componentes de tensão do laminado devem ser multiplicados para atingir a falha do laminado de acordo com o critério de Tsai-Wu indicado acima. O FOS para a falha do laminado é calculado em:
, onde os coeficientes são dados por:

Um fator de segurança superior a 1,0 indica que o laminado está seguro contra falha.
O critério de falha de Tsai-Wu não pode prever modos de falha diferentes, inclusive falha de fibra, de matriz e de interface entre fibra e matriz.