Функция плотности энергии деформации применяется для моделирования сжимаемых резин типа пенополиуретана и выражается следующей формулой:

где:
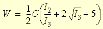
- G = E / 2(1+ν) – модуль сдвига при инфинитезимальных деформациях, E – модуль упругости Юнга, ν – коэффициент Пуассона
- Ik (k=1,..3) – тензор деформации Коши-Грина C=Ik ©)
- C = 2ε +I , ε – тензор напряжения Лагранжа и I – единичная матрица.
Приведенное выше выражение содержит только одну постоянную материала G. Поскольку ν = 0,25 для модели Blatz-Ko, единственным рассматриваемым свойством материала является модуль Юнга.

В настоящее время, модель Blatz-Ko поддерживается только твердотельными элементами (низкое и высокое качество).
Выбранная модель Blatz-Ko является упрощенной формой полученного в 1962 г. Blatz и Ko выражения для моделирования деформации высокосжимаемой пенополиуретановой резины. Приближенное значение энергии деформация устанавливается, при помощи следующего выражения:

Где:

Позже была предложена специфическая форма данного трехпараметрического семейства упругого потенциала, в которой допускались следующие значения постоянных α, β и ν: α = 0,5, β = 0 и ν = 0,25.