Visköz etkilerden kaynaklanan mekanik enerjiyi yayma yeteneğine sahip elastik malzemeler, viskoelastik malzemeler olarak karakterize edilir.
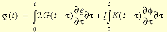
Çok eksenli gerilim durumu için bünye ilişkisi şu şekilde yazılabilir:

Burada e(bar) ve φ, deviatorik ve volümetrik gerinimdir; G(t - τ) ve K(t - τ) yırtılma ve bulk gevşeme fonksiyonlarıdır.
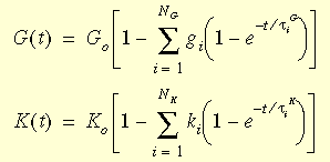
Gevşeme fonksiyonları genellikle şu ifadeleri içeren bir Genelleştirilmiş Maxwell Modeli olarak referans verilen mekanik model ile gösterilebilir:

Burada G0 = E / 2(1+ ν), ilk yırtılma modülü (t=0)
ve K0= E / 3(1 -2ν), ilk bulk modülü (t=0)
gi, ki, τiG ve τiK i-th yırtılma ve bulk modülleri ve karşılık gelen zamanlardır.

Sıcaklığın malzeme davranışı üzerindeki etkisi, zaman-sıcaklık karşılıklılık ilkesi yoluyla belirlenir. Bu ilkenin matematiksel formu şu şekildedir:

Burada γt, kısaltılan zaman ve γ ise kayma fonksiyonudur. Fonksiyonu yakınsamak için WLF (Williams-Landel-Ferry) denklemi kullanılır:

Burada T0 genellikle Camsı geçiş sıcaklığı olarak seçilen referans sıcaklıktır; C1 ve C2, malzemeye bağımlı sabitlerdir.
Parametre |
Malzeme Özelliği |
Doğrusal Elastik Parametreler |
X'te elastisite modülü |
XY'de Poisson oranı |
XY'de yırtılma modülü |
Gevşeme Fonksiyonu Parametreleri |
Yırtılma gevşeme modülü (1-8) (Genelleştirilmiş Maxwell Modeli denklemlerindeki g1, g2,...,g8 bileşenlerini gösterir)
|
Zaman değerleri (Yırtılma gevşeme modülü 1-8) (Genelleştirilmiş Maxwell Modeli denklemlerindeki τ1g, τ2g,..., τ8g bileşenlerini gösterir) |
Bulk Gevşeme Modülü (1-8) |
Zaman değerleri (Bulk gevşeme modülü 1-8) (Genelleştirilmiş Maxwell Modeli denklemlerindeki τ1k, τ2k,..., τ8k bileşenlerini gösterir) |
WLF Denklemi Parametreleri |
Camsı Geçiş Sıcaklığı (WLF denklemindeki T0 bileşenini gösterir)
|
Williams-Landel-Ferry denklemi için İlk Sabit (WLF denklemindeki C1 bileşenini gösterir)
|
Williams-Landel-Ferry denklemi için İkinci Sabit (WLF denklemindeki C2 bileşenini gösterir)
|
Tablolar ve Eğriler sekmesinde bir yırtılma veya bulk gevşeme eğrisi tanımlanırken, eğrinin ilk noktası t1 zaman noktasındaki G1 veya K1 modülüdür. t = 0 zaman noktasında, program G0 veya K0 değerini Elastisite modülü ve Poisson oranından otomatik olarak hesaplar.
Viskoelastik malzeme modeli, draft ve yüksek kaliteli katı ve kalın kabuk elemanlarla birlikte kullanılabilir.