隐藏目录

粘弹性模型

由于粘性效应而能够消耗机械能的弹性材料具有粘弹性材料的特性。

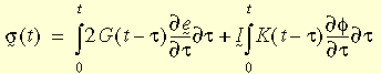
对于多轴应力状态,本构关系可以写成:

32.gif

其中:e(bar)和 φ 是偏应变和体积应变;G(t - τ) 和 K(t - τ) 是抗剪弛张函数和整体弛张函数。

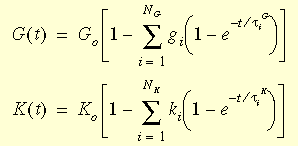
驰张函数可以由力学模型表示,通常称为广义麦克斯韦模型:

33.gif

其中:G0 = E / 2(1+ ν),瞬时抗剪模量 (t=0)

并且 K0= E / 3(1 -2ν),瞬时整体模量 (t=0)

gi、ki、τiG 和 τiK 是第 i 个抗剪和体积模量以及对应的时间。

fig_5.gif

通过时间-温度对应原理引入了温度对材料行为的影响。此原理的数学形式为:

34.gif

其中 γt 是缩短的时间,γ 是转换函数。WLF (Williams-Landel-Ferry) 公式用来近似计算此函数:

35.gif

其中 T0 是参考温度,通常被选为玻璃过渡温度;C1 和 C2 是与材料有关的常量。

参数 材料属性
线性弹性参数 X 弹性模量
XY 中泊松比
XY 中抗剪模量
驰张函数参数 抗剪弛张模量(1 到 8)

(代表广义麦克斯韦模型公式中的 g1,g2,...,g8)

时间值(抗剪弛张模量1 至 8)(代表广义麦克斯韦模型公式中的 τ1g,τ2g,...,τ8g
整体弛张模量(1 到 8)
时间值(整体弛张模量1 至 8)(代表广义麦克斯韦模型公式中的 τ1k,τ2k,...,τ8k
WLF 公式参数 玻璃过渡温度

(代表着方程式中的 T0

Williams-Landel-Ferry 方程第一常量

(代表着方程式中的 C1

Williams-Landel-Ferry 方程第二常量

(代表着方程式中的 C2

当在表格与曲线选项卡下定义抗剪弛张或整体弛张曲线时,曲线的第一个点 (t =1) 在时间为 11 时是 G1 或 K1 模量。在时间 t = 0,程序自动从弹性模态和泊松比率计算 G0 或 K0

粘弹性材料模型可以用于草图和高品质实体以及厚外壳单元。



提供对该主题的反馈

SOLIDWORKS 欢迎您对此文档的外观、准确性及完整性提供反馈。请使用以下表格,将您对该主题的评论和建议直接发送给我们的文档团队。文档团队不能回答技术支持问题。单击此处获取有关技术支持的信息

* 必填

 
*电子邮件:  
主题:   对帮助主题的反馈
页面:   粘弹性模型
*评论:  
*   本人确认已阅读并且接受 Dassault Systèmes 按照《隐私政策》使用本人的个人数据

打印主题

选择要打印的内容范围:

x

我们检测到您在使用旧于 Internet Explorer 7 的浏览器版本。为优化显示,我们建议您将您的浏览器升级到 Internet Explorer 7 或以上。

 永不再显示此信息
x

Web 帮助内容版本:SOLIDWORKS 2014 SP05

要从 SOLIDWORKS 中禁用 Web 帮助并使用本地帮助,请单击帮助 > 使用 SOLIDWORKS Web 帮助

要报告在 Web 帮助界面和搜索中所遇到的问题,请联系您的当地支持代表。要提供单个帮助主题的反馈,请使用单个主题页面上的“对该主题的反馈”链接。