隐藏目录

超弹性 Ogden 模型

Ogden 应变能密度函数定义为:

27.gif

其中:λi 是主要伸展,αi、μi 是材料常量,N 是函数中的项数,该函数被认为是在描述类橡胶材料的大变形范围时最成功的函数之一。

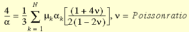
在 Ogden 公式中使用的惩罚函数采用 Mooney-Rivlin 模型中使用的函数形式。实际使用的应变能函数是一种修改的 Ogden 函数:

28.gif

其中 J 是变形体积与未变形体积之比,N 是函数中的项数,G(J) = J2-1,以及

29.gif

广泛使用 3 项的(修改的 Ogden)模型。在该程序中可以使用多达 4 项的模型 (N=4)。

除上述材料常量之外,还需要泊松比。对于大多数情况,可以通过指定 0.49 到 0.499 的泊松比获得满意的结果。此外,除非涉及相当大的体积应变,否则增加泊松比将不会对计算结果有重大影响。

当泊松比非常接近 0.5 时,会由于刚度矩阵中出现负对角线项或缺乏收敛性而导致求解终止。

应通过材料对话框输入 Ogden 模型的材料属性。所需的量是:
  • 一到四个动力系数 (αi)
  • 一到四个材料常量 (μi)(具体取决于常量数)。
  • 泊松比


提供对该主题的反馈

SOLIDWORKS 欢迎您对此文档的外观、准确性及完整性提供反馈。请使用以下表格,将您对该主题的评论和建议直接发送给我们的文档团队。文档团队不能回答技术支持问题。单击此处获取有关技术支持的信息

* 必填

 
*电子邮件:  
主题:   对帮助主题的反馈
页面:   超弹性 Ogden 模型
*评论:  
*   本人确认已阅读并且接受 Dassault Systèmes 按照《隐私政策》使用本人的个人数据

打印主题

选择要打印的内容范围:

x

我们检测到您在使用旧于 Internet Explorer 7 的浏览器版本。为优化显示,我们建议您将您的浏览器升级到 Internet Explorer 7 或以上。

 永不再显示此信息
x

Web 帮助内容版本:SOLIDWORKS 2014 SP05

要从 SOLIDWORKS 中禁用 Web 帮助并使用本地帮助,请单击帮助 > 使用 SOLIDWORKS Web 帮助

要报告在 Web 帮助界面和搜索中所遇到的问题,请联系您的当地支持代表。要提供单个帮助主题的反馈,请使用单个主题页面上的“对该主题的反馈”链接。