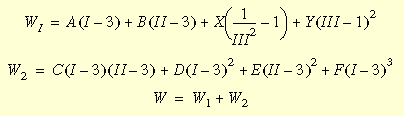
Die Mooney-Rivlin Dehnungsenergiedichte-Funktion wird wie folgt ausgedrückt:

wobei I, II und III die Invarianten des rechten Cauchy-Green Verformungstensors sind und als Hauptdehnverhältnisse ausgedrückt werden können; A, B, C, D, E und F sind Mooney Materialkonstanten

Folgendes ist zu beachten: Wenn das Material sich der Komprimierungsgrenze nähert, strebt die dritte Invariante (III) gegen 1, während Y gegen Unendlich strebt. Daher bleibt für die Werte der Poissonschen Zahl in der Nähe von 0,5 der letzte Term in W1 begrenzt, und eine Lösung kann erhalten werden.
Das Mooney-Rivlin-Materialmodell kann mit Volumenkörperelementen und dickwandigen Schalen verwendet werden. Die Materialeigenschaften für das Mooney-Rivlin-Modell werden in das Dialogfeld Material eingegeben. Es können bis zu sechs Mooney-Rivlin-Konstanten eingegeben werden: Mooney_A, Mooney_B, Mooney_C, Mooney_D, Mooney_E und Mooney_F.
Die Mooney-Rivlin-Konstanten werden automatisch berechnet, wenn die Option Kurvendaten zur Berechnung der Materialkonstanten verwenden im Dialogfeld Material aktiviert ist. Die Konstanten werden im aktiven Ergebnisordner der Studie in einer Textdatei mit der Erweiterung '.log' gespeichert.