Das Tsai-Wu-Versagenskriterium wird angewendet, um den Faktor der Sicherheitsverteilung für orthotrope Verbundstoffschalen zu ermitteln.
Dieses Kriterium berücksichtigt bei der Vorhersage von Versagenssituationen die gesamte Dehnungsenergie (Ausdehnungs- und Verzerrungsenergie). Es ist allgemeinerer Art als das Tsai-Hill-Versagenskriterium, da es zwischen dem Versagen hinsichtlich der Druck- und Zugfestigkeit unterscheidet.
Für einen 2D-Zustand planarer Spannung (σ3 = 0, τ13 =0, τ23 =0) wird das Tsai-Wu-Versagenskriterium wie folgt ausgedrückt:

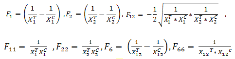
Die Koeffizienten Fij des orthotropen Tsai-Wu-Versagenskriteriums beziehen sich auf die Materialstärkeparameter des Verbunds und werden durch Experimente ermittelt. Sie werden mit den folgenden Formeln berechnet:

| XT1 |
Zugfestigkeit des Verbundmaterials entlang der Faserrichtung |
| XC1 |
Druckfestigkeit des Verbundmaterials entlang der Faserrichtung |
| XT2 |
Zugfestigkeit des Verbundmaterials quer zur Faserrichtung |
| XC2 |
Druckfestigkeit des Verbundmaterials quer zur Faserrichtung |
| XT12 |
positive Schubfestigkeit des Verbunds |
| XC12 |
negative Schubfestigkeit des Verbunds (im Gleichungslöser entspricht sie der positiven Schubfestigkeit) |
Der durch das Programm berechnete Spannungszustand des Verbunds wird durch die folgenden Komponenten beschrieben: σ1, σ2 und τ12
| σ1 |
Verbundspannung entlang der Faserrichtung |
| σ2 |
Verbundspannung quer zur Faserrichtung |
| τ12 |
Verbundscherspannung |
Materialrichtungen von Verbundstoff-Lagen

Richtung 1 bezieht sich auf die Faserrichtung der Lagenausrichtung.
Richtung 2 bezieht sich auf die Querfaserrichtung in der Lagenebene.
Faktor der Sicherheitsverteilung
Das Programm ermittelt den Sicherheitsfaktor, der dem Koeffizienten entspricht, mit dem alle Verbundspannungskomponenten multipliziert werden sollten, um das Verbundversagen gemäß dem oben angegebenen Tsai-Wu-Kriterium zu ermitteln. Der Sicherheitsfaktor für das Verbundversagen wird berechnet über:
, wobei die Koeffizienten angegeben werden durch:

Ein Sicherheitsfaktor größer als 1,0 gibt an, dass der Verbund eine angemessene Sicherheit aufweist.
Das Tsai-Wu-Versagenskriterium kann keine unterschiedlichen Versagensmodi (einschließlich Faserversagen, Matrixversagen oder Faser-Matrix-Grenzschichtversagen) vorhersagen.