The n x n symmetric damping matrix [C] is formulated as a linear combination of the mass [M] and stiffness [K] matrices:
(Equação 1)
- Coeficiente Alfa:Define o coeficiente de massa proporcional α.
- Coeficiente Beta:Define o coeficiente de rigidez proporcional β.
O tipo de amortecimento descrito pela (Equação 1) é conhecido como Rayleigh, ou amortecimento proporcional.
Esta forma de [C] é ortogonal em relação aos autovetores do sistema.
Aplicando a transformação de coordenadas modal, a matriz de amortecimento modal [c] se torna diagonal:
(Equação 2)
Você pode definir o amortecimento de Rayleigh para estudos dinâmicos lineares e não lineares.
Relação entre coeficientes de Rayleigh e razão de amortecimento modal
A matriz de amortecimento modal [c] é dada por:
(Equação 3)
O coeficiente de amortecimento viscoso ci para o i-ésimo modo é calculado por:
(Equação 4),
e a razão de amortecimento viscoso ζi é expressa como
(Equação 5)
If the damping ratios for the ith and jth modes are ζi and ζj, then the Rayleigh coefficients α and β are calculated from the solution of the two algebraic equations:
(Equação 6)
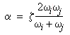
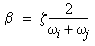
If both modes have the same damping ratio ( ζi = ζj = ζ) , then the values of α and β are given by:
(Equation 7)
(Equation 8)
A razão de amortecimento viscoso zpara qualquer outro modo varia com a frequência, como mostrado na figura:
