Expand IntroducciónIntroducción
Expand AdministraciónAdministración
Expand Interfaz de usuarioInterfaz de usuario
Expand Conceptos básicos de SolidWorksConceptos básicos de SolidWorks
Expand Migrar de 2D a 3DMigrar de 2D a 3D
Expand EnsamblajesEnsamblajes
Expand CircuitWorksCircuitWorks
Expand ConfiguracionesConfiguraciones
Expand SolidWorks CostingSolidWorks Costing
Expand Design CheckerDesign Checker
Expand Estudios de diseño en SolidWorksEstudios de diseño en SolidWorks
Expand Dibujos y documentaciónDibujos y documentación
Expand DFMXpressDFMXpress
Expand DriveWorksXpressDriveWorksXpress
Expand FloXpressFloXpress
Expand Importación y exportaciónImportación y exportación
Expand Visualización de modeloVisualización de modelo
Expand Diseño de moldesDiseño de moldes
Expand Estudios de movimientoEstudios de movimiento
Expand Piezas y operacionesPiezas y operaciones
Expand RoutingRouting
Expand Chapa metálicaChapa metálica
Collapse SimulationSimulation
Ayuda de SolidWorks Simulation
Acceder a la ayuda y usarla
Aviso legal
Guía de referencia de SolidWorks Simulation
Expand Conceptos básicos de SolidWorks SimulationConceptos básicos de SolidWorks Simulation
Collapse Información básica sobre los análisisInformación básica sobre los análisis
Expand Opciones de SimulationOpciones de Simulation
Expand Estudios de SimulationEstudios de Simulation
Expand Estudios de submodeladoEstudios de submodelado
Expand Estudios de diseñoEstudios de diseño
Expand Flujo de trabajo para una simplificación 2DFlujo de trabajo para una simplificación 2D
Expand Vaciados compuestosVaciados compuestos
Expand Cargas y restriccionesCargas y restricciones
Expand MalladoMallado
Expand Análisis de contactoAnálisis de contacto
Expand Materiales de simulaciónMateriales de simulación
Expand ParámetrosParámetros
Expand Operaciones de biblioteca de análisisOperaciones de biblioteca de análisis
Expand Ver resultados de análisisVer resultados de análisis
Expand Informes de estudioInformes de estudio
Expand Comprobación del Factor de seguridadComprobación del Factor de seguridad
Expand SimulationXpressSimulationXpress
Expand CroquizadoCroquizado
Expand SustainabilitySustainability
Expand SolidWorks UtilitiesSolidWorks Utilities
Expand TolerancingTolerancing
Expand TolAnalystTolAnalyst
Expand ToolboxToolbox
Expand Piezas soldadasPiezas soldadas
Expand Workgroup PDMWorkgroup PDM
Expand Solución de problemasSolución de problemas
Glosario
Ocultar tabla de contenido

Métodos de integración

Los siguientes métodos de integración se utilizan para estudios de vibración aleatorios.

Método estándar

El método estándar para análisis de vibración aleatorios procede de la siguiente manera:
  1. Ciertos puntos de frecuencia están seleccionados con respecto a cada modo natural solicitado. Las ubicaciones de estos puntos dependen del valor en el parámetro de desviación p.

    Para un parámetro de desviación de 1.0, todos los puntos de frecuencia están distribuidos uniformemente entre las frecuencias naturales. Si el parámetro es mayor que 1.0, los puntos se seleccionan más cercanos a las frecuencias naturales. Los valores predeterminados para los puntos de frecuencia y el parámetro de desviación se proporcionan como una función del primer cociente de amortiguamiento ζ del modo. Para ver una ilustración acerca de la selección de los puntos de frecuencia, haga clic aquí.

    A continuación, se muestran los valores predeterminados para los puntos de frecuencia y el parámetro de desviación como una función de ζ:

    Cociente de amortiguamiento modal Número de frecuencias (predeterminado) Parámetro de desviación (predeterminado)
    ζ < 0,01 21 11
    0,01 < ζ < 0,1 21-4,34 ln(ζ /0,01) 11-3,47 ln(ζ /0,01)
    ζ > 0,1 11 3

    El software aplica los valores predeterminados mencionados en la Tabla 1 cuando cero (0) está definido para N.º de puntos de frecuencia y Parámetro de desviación.

  2. Los psd modales de respuesta se evalúan en cada punto de frecuencia. El factor de corte (RATIO) establece un límite en el coeficiente de todos los posibles pares de frecuencias naturales (wi / wj, i > j).

    Esto significa que para cada par de modos con wi / wj > RATIO se desprecian los términos de densidad espectral cruzada. Los efectos del factor no se tienen en cuenta para RATIO =1.

  3. A continuación, los psd modales se integran numéricamente en el intervalo de frecuencias especificado para producir los valores de la media cuadrática y las covarianzas de la respuesta modal. La integración se lleva a cabo numéricamente mediante la integración de Gauss de orden 2 o 3 en cada intervalo de frecuencia y basada en una interpolación log-log. La respuesta de media cuadrática se consigue sumando las contribuciones de los intervalos.
  4. Finalmente, la transformación de modal a nodal produce los desplazamientos, velocidades y aceleraciones RMS del sistema.

Método aproximado

El método estándar de integración puede llevar mucho tiempo, desde el punto de vista de los cálculos, debido a la integración numérica de matrices grandes. Sin embargo, el método aproximado de integración desarrolla una solución simplificada mediante estas suposiciones:
  • Omisión de la respuesta del factor de corte, Sx(ω), esto es el efecto de un modo en otro, es decir:

    (Ecuación 1)

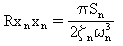
  • La psd de las excitaciones se considera constante en cada modo. Por tanto, se supone que cada modo se excita por medio de "ruido blanco" con densidad espectral Sn, donde:

    (Ecuación 2)

    ωn es la frecuencia natural del modo n (n = 1,2,...nf).

    Para el ruido blanco, las respuestas de media cuadrática se pueden determinar de forma analítica para las respuestas modales:

    (Ecuación 3)

    (Ecuación 4)

    (Ecuación 5).



Proporcione comentarios sobre este tema

SOLIDWORKS agradece sus comentarios acerca del formato, la precisión y la rigurosidad de la documentación. Utilice el siguiente formulario para enviar comentarios y sugerencias sobre este tema directamente al equipo de documentación. Nota: el equipo de documentación no puede responder a preguntas técnicas. Haga clic aquí para ver información sobre soporte técnico.

* Obligatorio

 
*Correo electrónico:  
Asunto:   Comentarios sobre los temas de la ayuda
Página:   Métodos de integración
*Comentario:  
*   Por la presente confirmo que he leído y acepto la política de privacidad en virtud de la cual Dassault Systèmes usará mis Datos personales

Imprimir tema

Seleccione el ámbito del contenido que desee imprimir:

x

Hemos detectado que la versión de su explorador es anterior a Internet Explorer 7. Para una visualización óptima, le recomendamos que actualice a Internet Explorer 7 o versión superior.

 No volver a mostrar este mensaje
x

Versión del contenido de la ayuda web: SOLIDWORKS 2014 SP05

Para desactivar la ayuda web desde SOLIDWORKS y utilizar la ayuda local en su lugar, haga clic en Ayuda > Usar la ayuda web de SOLIDWORKS.

Para informar sobre problemas detectados con la interfaz y la función de búsqueda de la ayuda web, póngase en contacto con el representante local de soporte. Si desea proporcionar comentarios sobre temas individuales, utilice el vínculo “Comentarios sobre este tema” en la página del tema en cuestión.