Expand IntroductionIntroduction
Expand AdministrationAdministration
Expand User InterfaceUser Interface
Expand SOLIDWORKS FundamentalsSOLIDWORKS Fundamentals
Expand Moving from 2D to 3DMoving from 2D to 3D
Expand AssembliesAssemblies
Expand CircuitWorksCircuitWorks
Expand ConfigurationsConfigurations
Expand SOLIDWORKS CostingSOLIDWORKS Costing
Expand Design CheckerDesign Checker
Expand Design Studies in SOLIDWORKSDesign Studies in SOLIDWORKS
Expand Detailing and DrawingsDetailing and Drawings
Expand DFMXpressDFMXpress
Expand DriveWorksXpressDriveWorksXpress
Expand FloXpressFloXpress
Expand SLDXML Data ExchangeSLDXML Data Exchange
Expand Import and ExportImport and Export
Expand Model DisplayModel Display
Expand Mold DesignMold Design
Expand Motion StudiesMotion Studies
Expand Parts and FeaturesParts and Features
Expand RoutingRouting
Expand Sheet MetalSheet Metal
Collapse SimulationSimulation
Expand SimulationXpressSimulationXpress
Expand SketchingSketching
Expand Sustainability ProductsSustainability Products
Expand SOLIDWORKS MBDSOLIDWORKS MBD
Expand SOLIDWORKS UtilitiesSOLIDWORKS Utilities
Expand TolerancingTolerancing
Expand TolAnalystTolAnalyst
Expand ToolboxToolbox
Expand WeldmentsWeldments
Expand Workgroup PDMWorkgroup PDM
Expand TroubleshootingTroubleshooting
Glossary
Hide Table of Contents

Analysis Procedure - Harmonic

Harmonic analysis evaluates peak steady state response of a system to harmonic loads.

At each solution step, all applied loads and base excitations have the same frequency. The magnitudes are defined by the associated frequency curves.

Assume a harmonic nodal force vector {P} defined as:

(Equation 1) or (Equation 2),

where:

Pk is the magnitude of the force in the direction of the kth degree of freedom

ω is the exciting frequency, and

γk is the phase angle of the force.

For linear systems, the system's equations of motion are de-coupled into n modal equations:

(Equation 3).

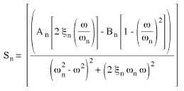
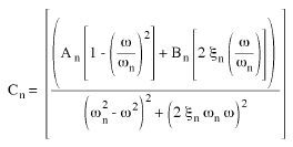
Substituting the force vector {P} into (Equation 3) results in:

(Equation 4), where

(Equation 5)

The steady state solution to (Equation 4) is:

(Equation 6).

The real part of (Equation 6) is:

(Equation 7) where

(Equation 8) and

(Equation 9).

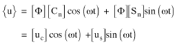
The displacement vector u is given by:

(Equation 10) or

(Equation 11)

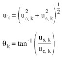
The magnitude of the displacement uk and the corresponding phase angle θkfor the kth degree of freedom are:

(Equation 12)

The velocity and acceleration responses are derived from the derivatives of (Equation 11). Their amplitudes are:

(Equation 13)

The velocities and accelerations phase angles are 90º and 180º out of phase with respect to the displacement phase angles.



Provide feedback on this topic

SOLIDWORKS welcomes your feedback concerning the presentation, accuracy, and thoroughness of the documentation. Use the form below to send your comments and suggestions about this topic directly to our documentation team. The documentation team cannot answer technical support questions. Click here for information about technical support.

* Required

 
*Email:  
Subject:   Feedback on Help Topics
Page:   Analysis Procedure - Harmonic
*Comment:  
*   I acknowledge I have read and I hereby accept the privacy policy under which my Personal Data will be used by Dassault Systèmes

Print Topic

Select the scope of content to print:

x

We have detected you are using a browser version older than Internet Explorer 7. For optimized display, we suggest upgrading your browser to Internet Explorer 7 or newer.

 Never show this message again
x

Web Help Content Version: SOLIDWORKS 2015 SP05

To disable Web help from within SOLIDWORKS and use local help instead, click Help > Use SOLIDWORKS Web Help.

To report problems encountered with the Web help interface and search, contact your local support representative. To provide feedback on individual help topics, use the “Feedback on this topic” link on the individual topic page.