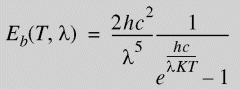
The Planck law gives the intensity radiated by a black body as a function of wavelength (or frequency).

Where:
h = Planck constant = 6.6262X10-34 joule.sec
c = Speed of light in vacuum
λ = Wavelength of emitted radiation
K = Boltzmann constant
T = Absolute temperature