Expand IntroductionIntroduction
Expand AdministrationAdministration
Expand Interface utilisateurInterface utilisateur
Expand Fonctions de base de SOLIDWORKSFonctions de base de SOLIDWORKS
Expand Migrer de la 2D à la 3DMigrer de la 2D à la 3D
Expand AssemblagesAssemblages
Expand CircuitWorksCircuitWorks
Expand ConfigurationsConfigurations
Expand SOLIDWORKS CostingSOLIDWORKS Costing
Expand Design CheckerDesign Checker
Expand Etudes de conception dans SOLIDWORKSEtudes de conception dans SOLIDWORKS
Expand Habillage et mises en planHabillage et mises en plan
Expand DFMXpressDFMXpress
Expand DriveWorksXpressDriveWorksXpress
Expand FloXpressFloXpress
Expand Echange de données SLDXMLEchange de données SLDXML
Expand Opérations d'import et d'exportOpérations d'import et d'export
Expand Affichage du modèleAffichage du modèle
Expand Conception de moulesConception de moules
Expand Etudes de mouvementEtudes de mouvement
Expand Pièces et fonctionsPièces et fonctions
Expand RoutageRoutage
Expand TôlerieTôlerie
Collapse SimulationSimulation
Expand SimulationXpressSimulationXpress
Expand EsquisseEsquisse
Expand Produits SustainabilityProduits Sustainability
Expand SOLIDWORKS MBDSOLIDWORKS MBD
Expand SOLIDWORKS UtilitiesSOLIDWORKS Utilities
Expand TolérancementTolérancement
Expand TolAnalystTolAnalyst
Expand ToolboxToolbox
Expand Constructions soudéesConstructions soudées
Expand Workgroup PDMWorkgroup PDM
Expand DépannageDépannage
Glossaire
Masquer le sommaire

Procédure d'analyse - Harmonique

L'analyse harmonique évalue la réponse maximale d'un système en régime permanent à des chargements harmoniques.

A chaque pas de simulation, tous les chargements appliqués et toutes les excitations de base ont la même fréquence. Ces intensités sont définies par les courbes en fréquence associées.

Supposons un vecteur de force nodale harmonique (P) défini de la façon suivante:

(Equation 1) ou (Equation 2),

où :

Pk est l'intensité de la force dans la direction du kième degré de liberté

ω est la fréquence d'excitation et

γk est l'angle de phase de la force.

Dans le cas des systèmes linéaires, les équations de mouvement sont découplées en n équations modales:

(Equation 3).

La substitution du vecteur de force {P} dans (Equation 3) donne les résultats suivants:

(Equation 4), où

(Equation 5)

La solution en régime permanent de (Equation 4) est:

(Equation 6).

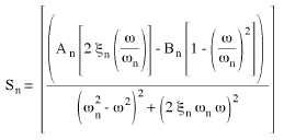
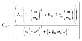
La partie réelle de (Equation 6) est:

(Equation 7), où

(Equation 8) et

(Equation 9).

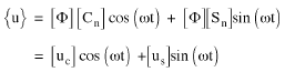
Le vecteur de déplacement u est donné par :

(Equation 10) ou

(Equation 11)

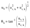
L'amplitude du déplacement uk et l'angle de phase correspondant θk pour le kième degré de liberté sont :

(Equation 12)

Les réponses de vitesse et d'accélération découlent des dérivées de (Equation 11). Leurs amplitudes sont:

(Equation 13)

Les angles de phase des vitesses et des accélérations sont déphasées de 90º et 180º par rapport aux angles de phase de déplacement.



Faire un commentaire sur cette rubrique

Tous les commentaires concernant la présentation, l'exactitude et l'exhaustivité de la documentation sont les bienvenus. Utilisez le formulaire ci-dessous pour faire parvenir vos commentaires et suggestions directement à notre équipe de documentation. Celle-ci ne peut pas répondre aux questions de support technique. Cliquez ici pour des informations sur le support technique.

* Requis

 
*Courriel:  
Sujet:   Commentaires sur les rubriques d'aide
Page:   Procédure d'analyse - Harmonique
*Commentaire:  
*   Je reconnais avoir pris connaissance et accepter par la présente la politique de confidentialité en vertu de laquelle mes données personnelles seront utilisées par Dassault Systèmes

Rubrique d'impression

Sélectionner l'étendue du contenu à imprimer :

x

La version du navigateur que vous utilisez est antérieure à Internet Explorer 7. Afin d'optimiser l'affichage, nous suggérons d'utiliser Internet Explorer 7 ou une version ultérieure.

 Ne plus afficher ce message
x

Version du contenu de l'aide sur le Web: SOLIDWORKS 2015 SP05

Pour désactiver l'aide sur le Web dans SOLIDWORKS et utiliser l'aide locale à la place, cliquez sur ? > Utiliser l'aide sur le Web de SOLIDWORKS.

Pour signaler tout problème rencontré avec l'interface ou la fonctionnalité de recherche de l'aide sur le Web, contactez votre support technique local. Pour faire part de vos commentaires sur des rubriques d'aide individuelles, utilisez le lien “Commentaires sur cette rubrique” sur la page de la rubrique concernée.