Expand IntroductionIntroduction
Expand AdministrationAdministration
Expand Interface utilisateurInterface utilisateur
Expand Fonctions de base de SOLIDWORKSFonctions de base de SOLIDWORKS
Expand Migrer de la 2D à la 3DMigrer de la 2D à la 3D
Expand AssemblagesAssemblages
Expand CircuitWorksCircuitWorks
Expand ConfigurationsConfigurations
Expand SOLIDWORKS CostingSOLIDWORKS Costing
Expand Design CheckerDesign Checker
Expand Etudes de conception dans SOLIDWORKSEtudes de conception dans SOLIDWORKS
Expand Habillage et mises en planHabillage et mises en plan
Expand DFMXpressDFMXpress
Expand DriveWorksXpressDriveWorksXpress
Expand FloXpressFloXpress
Expand Echange de données SLDXMLEchange de données SLDXML
Expand Opérations d'import et d'exportOpérations d'import et d'export
Expand Affichage du modèleAffichage du modèle
Expand Conception de moulesConception de moules
Expand Etudes de mouvementEtudes de mouvement
Expand Pièces et fonctionsPièces et fonctions
Expand RoutageRoutage
Expand TôlerieTôlerie
Collapse SimulationSimulation
Bienvenue dans l'aide de SOLIDWORKS Simulation
Accès et utilisation de l'aide
Mentions légales
Référence de SOLIDWORKS Simulation
Expand Fonctions de base de SOLIDWORKS SimulationFonctions de base de SOLIDWORKS Simulation
Collapse Rappel sur la théorieRappel sur la théorie
Expand Options de SimulationOptions de Simulation
Expand Etudes de SimulationEtudes de Simulation
Expand Etude de sous-modélisationEtude de sous-modélisation
Expand Etudes de conceptionEtudes de conception
Expand Déroulement d'une simplification 2DDéroulement d'une simplification 2D
Expand Coques compositesCoques composites
Expand Chargements et déplacements imposésChargements et déplacements imposés
Expand MaillageMaillage
Expand Analyse de contactAnalyse de contact
Expand Matériaux de SimulationMatériaux de Simulation
Expand ParamètresParamètres
Expand Fonctions de bibliothèque d'analyseFonctions de bibliothèque d'analyse
Expand Affichage des résultats de l'analyseAffichage des résultats de l'analyse
Expand Rapports d'étudesRapports d'études
Expand Contrôle du coefficient de sécuritéContrôle du coefficient de sécurité
Expand SimulationXpressSimulationXpress
Expand EsquisseEsquisse
Expand Produits SustainabilityProduits Sustainability
Expand SOLIDWORKS MBDSOLIDWORKS MBD
Expand SOLIDWORKS UtilitiesSOLIDWORKS Utilities
Expand TolérancementTolérancement
Expand TolAnalystTolAnalyst
Expand ToolboxToolbox
Expand Constructions soudéesConstructions soudées
Expand Workgroup PDMWorkgroup PDM
Expand DépannageDépannage
Glossaire
Masquer le sommaire

Méthodes d'intégration

Les méthodes d'intégration suivantes sont utilisées pour les études de vibration aléatoire.

Méthode standard

La méthode standard d'analyse de vibration aléatoire se déroule comme suit:
  1. Certains points de fréquence sont sélectionnés autour de chaque mode propre requis. Les emplacements de ces points dépendent de la valeur du paramètre de biais p.

    Pour un paramètre de biais de 1,0. tous les points de fréquence sont distribués uniformément entre les fréquences propres. Si le paramètre de biais est supérieur à 1,0, les points sont sélectionnés plus près des fréquences propres. Les valeurs par défaut des points de fréquence et le paramètre de biais sont donnés sous forme de fonction du rapport ζ d'amortissement du premier mode. Pour une illustration de la sélection des points de fréquence, cliquez ici.

    Les valeurs par défaut des points de fréquence et le paramètre de biais exprimé sous forme de fonction de ζ sont donnés ci-dessous :

    Rapport d'amortissement modal Nombre de fréquences (valeur par défaut) Paramètre de biais (valeur par défaut)
    ζ < 0,01 21 11
    0,01 < ζ < 0,1 21-4,34 ln(ζ /0,01) 11-3,47 ln(ζ /0,01)
    ζ > 0,1 11 3

    Le logiciel applique les valeurs par défaut données dans le Tableau 1 quand zéro (0) est défini à la fois pour le Nombre de points de fréquence et le Paramètre de biais .

  2. Les densités spectrales de puissance modales de réponse sont évaluées à chacun des points de fréquence. Le rapport limite d'interaction entre modes (RATIO) définit une limite du rapport de toutes les paires de fréquences naturelles possibles (wi / wj, i > j).

    Cela veut dire que, pour chaque paire de modes ayant wi / wj > RATIO, les termes de densité interspectrale sont négligés. Les effets d'interaction entre les modes ne sont pas considérés pour RATIO =1.

  3. Les densités spectrales de puissance sont alors intégrées numériquement sur la plage de fréquences spécifiée pour donner les moyennes quadratiques et les covariances de la réponse modale. L'intégration est faite numériquement en utilisant l'intégration de Gauss d'ordre 2 ou 3 sur chaque intervalle de fréquence, et sur la base d'une interpolation log-log. La réponse de moyenne quadratique est obtenue en additionnant les contributions des intervalles.
  4. Finalement, la transformation de coordonnées de modales à coordonnées de nœuds donne les déplacements de moyenne quadratique, de vitesse et d'accélération du système.

Méthode approximative

La méthode d'intégration standard peut entraîner des calculs longs dus à l'intégration numérique de matrices de grande taille. La méthode d'intégration approximative effectue une simulation simplifiée en faisant les suppositions suivantes:
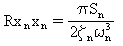
  • La simulation néglige la réponse d'interactions entre modes, Sx(ω), c'est-à-dire l'effet d'un mode sur un autre, par exemple.

    (Equation 1)

  • La densité spectrale de puissance des excitations est considérée constante pour chaque mode. Ainsi, il est supposé que chaque mode est excité par un "bruit blanc" avec une densité spectrale de Sn, où :

    (Equation 2)

    ωn est la fréquence propre du mode n (n = 1,2,...nf).

    Dans le cas du bruit blanc, les réponses de moyenne quadratique peuvent être déterminées de façon analytique pour les réponses modales:

    (Equation 3)

    (Equation 4)

    (Equation 5).



Faire un commentaire sur cette rubrique

Tous les commentaires concernant la présentation, l'exactitude et l'exhaustivité de la documentation sont les bienvenus. Utilisez le formulaire ci-dessous pour faire parvenir vos commentaires et suggestions directement à notre équipe de documentation. Celle-ci ne peut pas répondre aux questions de support technique. Cliquez ici pour des informations sur le support technique.

* Requis

 
*Courriel:  
Sujet:   Commentaires sur les rubriques d'aide
Page:   Méthodes d'intégration
*Commentaire:  
*   Je reconnais avoir pris connaissance et accepter par la présente la politique de confidentialité en vertu de laquelle mes données personnelles seront utilisées par Dassault Systèmes

Rubrique d'impression

Sélectionner l'étendue du contenu à imprimer :

x

La version du navigateur que vous utilisez est antérieure à Internet Explorer 7. Afin d'optimiser l'affichage, nous suggérons d'utiliser Internet Explorer 7 ou une version ultérieure.

 Ne plus afficher ce message
x

Version du contenu de l'aide sur le Web: SOLIDWORKS 2015 SP05

Pour désactiver l'aide sur le Web dans SOLIDWORKS et utiliser l'aide locale à la place, cliquez sur ? > Utiliser l'aide sur le Web de SOLIDWORKS.

Pour signaler tout problème rencontré avec l'interface ou la fonctionnalité de recherche de l'aide sur le Web, contactez votre support technique local. Pour faire part de vos commentaires sur des rubriques d'aide individuelles, utilisez le lien “Commentaires sur cette rubrique” sur la page de la rubrique concernée.