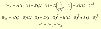
La fonction de densité d'énergie de déformation de Mooney-Rivlin est exprimée ainsi :

où I, II, et III sont des invariants du tenseur de déformation de Cauchy-Green et peuvent être exprimés en fonction des rapports d'étirements principaux ; A, B, C, D, E et F sont des constantes de matériaux de Mooney et

On a observé qu'au fur et à mesure qu'un matériau approche l'incompressibilité, le troisième invariant, III, s'approche de l'unité alors que Y s'approche de l'infini. Par conséquent, pour les valeurs de coefficient de Poisson proches de 0,5, le dernier terme dans W1 reste solidaire et une solution peut être obtenue.
Le modèle de matériau de Mooney-Rivlin peut être utilisé avec des éléments volumiques et des coques épaisses. Les propriétés du matériau pour le modèle de Mooney-Rivlin sont spécifiées dans la boîte de dialogue Matériau. Vous pouvez saisir jusqu'à six constantes de Mooney-Rivlin : Mooney_A, Mooney_B, Mooney_C, Mooney_D, Mooney_E et Mooney_F.
Les constantes de Mooney-Rivlin sont automatiquement calculées lorsque l'option Utiliser les données de la courbe pour calculer les constantes du matériau est sélectionnée dans la boîte de dialogue Matériau. Les constantes sont enregistrées dans un fichier texte avec l'extension .log dans le dossier de résultats actif de l'étude.