Funkcja Blatz-Ko gęstości energii odkształcenia jest użyteczna przy modelowaniu tworzyw typu ściśliwej pianki poliuretanowej i może być wyrażona jako:

gdzie:
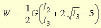
- G = E / 2(1+ν) jest współczynnikiem sprężystości poprzecznej przy nieskończenie małych deformacjach, E jest modułem sprężystości Younga, a ν jest współczynnikiem Poissona
- Ik (k = 1, ..3) są niezmiennymi tensora deformacji Cauchy'ego-Greena C=Ik ©)
- C = 2ε +I, gdzie ε jest tensorem odkształcenia Lagrange'a, a I jest macierzą identyczności.
Powyższe wyrażenie zawiera tylko jedną stałą materiałową G. Ponieważ w przypadku modelu Blatz-Ko ν = 0,25, jedyną uwzględnioną właściwością materiału jest moduł Younga.

Model Blatz-Ko jest obecnie obsługiwany tylko przez elementy bryłowe (jakości roboczej i wysokiej).
Wybrany model Blatz-Ko jest uproszczoną postacią wyrażenia uzyskanego przeze Blatza i Ko (1962) do modelowania deformacji wysokościśliwego spienionego tworzywa poliuretanowego. Energia odkształcenia jest przybliżona następującym równaniem:

gdzie:

W późniejszym czasie zaproponowano specyficzną postać rodziny trójparametrowego potencjału sprężystości, w którym założono następujące wartości stałych α, β i ν: α = 0,5, β = 0 i ν = 0,25.