Expand WprowadzenieWprowadzenie
Expand AdministracjaAdministracja
Expand Interfejs użytkownikaInterfejs użytkownika
Expand Podstawy SOLIDWORKSPodstawy SOLIDWORKS
Expand Przejście z 2D do 3DPrzejście z 2D do 3D
Expand ZłożeniaZłożenia
Expand CircuitWorksCircuitWorks
Expand KonfiguracjeKonfiguracje
Expand SOLIDWORKS CostingSOLIDWORKS Costing
Expand Design CheckerDesign Checker
Expand Badania projektu w SOLIDWORKSBadania projektu w SOLIDWORKS
Expand Opisywanie szczegółów i rysunkiOpisywanie szczegółów i rysunki
Expand DFMXpressDFMXpress
Expand DriveWorksXpressDriveWorksXpress
Expand FloXpressFloXpress
Expand Wymiana danych SLDXMLWymiana danych SLDXML
Expand Import i eksportImport i eksport
Expand Wyświetlanie modeluWyświetlanie modelu
Expand Projektowanie formProjektowanie form
Expand Badania ruchuBadania ruchu
Expand Części i operacjeCzęści i operacje
Expand Wyznaczanie trasyWyznaczanie trasy
Expand Arkusz blachyArkusz blachy
Collapse SimulationSimulation
Expand SimulationXpressSimulationXpress
Expand SzkicowanieSzkicowanie
Expand Produkty SustainabilityProdukty Sustainability
Expand SOLIDWORKS MBDSOLIDWORKS MBD
Expand SOLIDWORKS UtilitiesSOLIDWORKS Utilities
Expand TolerancjeTolerancje
Expand TolAnalystTolAnalyst
Expand ToolboxToolbox
Expand Konstrukcje spawaneKonstrukcje spawane
Expand Workgroup PDMWorkgroup PDM
Expand Rozwiązywanie problemówRozwiązywanie problemów
Glosariusz
Ukryj spis treści

Metody całkowania

W badaniach drgań losowych wykorzystywane są niżej wymienione metody całkowania.

Metoda standardowa

Metoda standardowa analizy drgań losowych przebiega następująco:
  1. Wybierane są pewne punkty częstotliwości wokół każdego modu drgań własnych. Lokalizacje tych punktów zależą od wartości parametru bias p.

    Dla parametru bias równego 1.0, wszystkie punkty częstotliwości są jednorodnie rozłożone pomiędzy częstotliwościami drgań własnych. Jeżeli parametr bias jest większy od 1.0, wybierane punkty leżą bliżej częstotliwości drgań własnych. Domyślne wartości dla punktów częstotliwości oraz parametru bias są funkcją stosunku tłumienia pierwszego modu ζ. Aby zapoznać się ze sposobem wybierania punktów częstotliwości, kliknąć tutaj.

    Poniżej podano domyślne wartości dla punktów częstotliwości oraz parametru bias w funkcji ζ:

    Modalny stosunek tłumienia Liczba częstotliwości (domyślna) Parametr bias (domyślny)
    ζ < 0,01 21 11
    0,01 < ζ < 0,1 21-4,34 cala (ζ /0,01) 11-3,47 cala (ζ /0,01)
    ζ > 0,1 11 3

    Oprogramowanie stosuje wartości domyślne podane w Tabeli 1, gdy zero (0) jest zdefiniowane zarówno dla Liczby punktów częstotliwości, jak i Parametru bias.

  2. Modalne gęstości widmowe mocy (PSD) są oszacowywane w każdym punktu częstotliwości. Limit stosunku dla dowolnych dwóch częstotliwości (RATIO) określa limit stosunku wszystkich możliwych par częstotliwości drgań własnych (wi / wj, i > j).

    Oznacza to, że dla każdej pary modów, gdzie wi / wj > RATIO, warunki gęstości międzywidmowej są pomijane. Efekty międzymodalne nie są rozważane dla RATIO = 1.

  3. Modalne gęstości widmowe mocy (PSD) są następnie całkowane numerycznie w określonym zakresie częstotliwości, aby uzyskać wartości średniokwadratowe i kowariancje reakcji modalnej. Całkowanie wykonywane jest metodami numerycznymi z wykorzystaniem całkowania Gaussa 2 lub 3 w każdym interwale częstotliwości, w oparciu o interpolację logarytmiczną. Reakcja średniokwadratowa uzyskiwana jest poprzez sumowanie udziałów interwałów.
  4. Na końcu przekształcenie wielkości modalnych na węzłowe pozwala uzyskać średniokwadratowe przemieszczenia, prędkości i przyspieszenia układu.

Metoda przybliżona

Standardowe metody całkowania mogą być czasochłonne ze względu na całkowanie numeryczne dużych macierzy. Metoda przybliżona całkowania dokonuje uproszczonego rozwiązania z zastosowaniem następujących założeń:
  • Pominięcie reakcji międzymodalnej, Sx(ω), która jest skutkiem oddziaływania jednego modu na inny, tj.

    (Równanie 1)

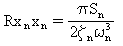
  • Gęstości widmowe mocy (PSD) wzbudzeń są uznawane za stałe wokół każdego modu. Zatem zakłada się, że każdy mod jest wzbudzany przez „biały szum” o gęstości widmowej Sn, gdzie:

    (Równanie 2)

    ωn jest częstotliwością drgań własnych modu n (n = 1, 2, ...nf).

    Dla białego szumu reakcje średniokwadratowe można określić analitycznie dla reakcji modalnych:

    (Równanie 3)

    (Równanie 4)

    (Równanie 5).



Wyraź swoje opinie dotyczące tego tematu

SOLIDWORKS docenia wszelkie informacje i uwagi dostarczone przez użytkownika na temat prezentacji, dokładności oraz prawidłowości dokumentacji. Proszę użyć poniższego formularza, aby wysłać komentarze I sugestie na temat tego tematu do naszego zespołu dokumentacyjnego. Zespół dokumentacyjny nie może udzielać informacji na pytania natury technicznej. Proszę kliknąć tutaj, aby uzyskać informacje dotyczące pomocy technicznej.

* Wymagane

 
*Email:  
Temat:   Opinie dotyczące tematów pomocy
Strona:   Metody całkowania
*Komentarz:  
*   Oświadczam, że zapoznałem/zapoznałam się z polityką prywatności, zgodnie z którą moje dane osobowe będą wykorzystywane przez firmę Dassault Systèmes, i niniejszym ją akceptuję

Wydrukuj temat

Wybierz zakres treści do druku:

x

Wykryliśmy że używasz przeglądarki w wersji starszej niż Internet Explorer 7. Dla zoptymalizowanego wyświetlania sugerujemy uaktualnienie przeglądarki do Internet Explorer 7 lub nowszej.

 Nie pokazuj tego komunikatu ponownie
x

Wersja zawartości pomocy w sieci Web: SOLIDWORKS 2015 SP05

Aby wyłączyć pomoc w sieci Web w oprogramowaniu SOLIDWORKS i użyć zamiast tego pomocy lokalnej, należy kliknąć Pomoc > Użyj pomocy SOLIDWORKS w sieci Web.

Aby zgłosić problemy związane z interfejsem lub funkcją wyszukiwania pomocy w sieci Web, należy skontaktować się z lokalnym przedstawicielem pomocy technicznej. Aby wyrazić opinie dotyczące poszczególnych tematów pomocy, należy użyć łącza “Opinie dotyczące tego tematu” na stronie danego tematu.