Symetryczna macierz tłumienia [C] n x n jest tworzona jako liniowa kombinacja macierzy masy [M] i sztywności [K]:
(Równanie 1)
- Współczynnik alfa: Określa współczynnik proporcjonalności masy α.
- Współczynnik beta: Określa współczynnik proporcjonalności sztywności β.
Typ tłumienia opisany przez (Równanie 1) jest znany jako tłumienie Rayleigha lub tłumienie proporcjonalne.
Ta postać [C] jest ortogonalna względem wektorów własnych układu.
Stosując modalną transformację współrzędnych, uzyskuje się diagonalną macierz tłumienia modalnego [c]:
(Równanie 2)
Można zdefiniować tłumienie Rayleigh'a dla badań dynamicznych liniowych i nieliniowych.
Zależność współczynników Rayleigha i stosunku tłumienia modalnego
Macierz tłumienia modalnego [c] jest wyrażona wzorem:
(Równanie 3)
Współczynnik tłumienia lepkościowego ci dla i-tego modu jest obliczany jako:
(Równanie 4),
a stosunek tłumienia lepkościowego ζi jest wyrażony jako
(Równanie 5)
Jeżeli stosunki tłumienia dla i-tego i j-tego modu wynoszą ζi i ζj, współczynniki Rayleigha α i β są obliczane z rozwiązania dwóch równań algebraicznych:
(Równanie 6)
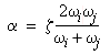
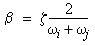
Jeżeli oba mody mają taki sam stosunek tłumienia (ζi = ζj = ζ), wartości α i β są wyrażone wzorem:
(Równanie 7)
(Równanie 8)
Stosunek tłumienia lepkościowego ζ dla dowolnego innego modu zmienia się z częstotliwością, jak pokazano na rysunku:
