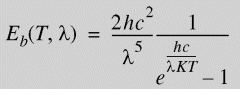
Planck kanunu, bir kara cisim tarafından yayılan yoğunluğu dalga uzunluğunun (ya da frekansın) bir fonksiyonu olarak verir.

Burada:
h = Planck sabiti= 6,6262X10-34 joule.saniye
c = Vakum içinde ışık hızı
λ = Yayılan radyasyonun dalga uzunluğu
K = Boltzmann sabiti
T = Mutlak sıcaklık