Visköz etkilerden kaynaklanan mekanik enerjiyi yayma yeteneğine sahip elastik malzemeler, viskoelastik malzemeler olarak karakterize edilir.
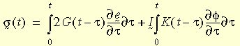
Çok eksenli gerilim durumu için bünye ilişkisi şu şekilde yazılabilir:

burada: e(bar) ve φ, deviatorik ve volümetrik gerinimdir; G(t - τ) ve K(t - τ) yırtılma ve bulk gevşeme fonksiyonlarıdır.
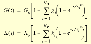
Gevşeme fonksiyonları genellikle şu ifadeleri içeren bir Genelleştirilmiş Maxwell Modeli olarak referans verilen mekanik model ile gösterilebilir:

burada: G0 = E / 2(1+ ν), ilk yırtılma modülü (t=0)
ve K0= E / 3(1 -2ν), ilk bulk modülü (t=0)
gi, ki, τiG ve τiK i-th yırtılma ve bulk modülleri ve karşılık gelen zamanlardır.

Sıcaklığın malzeme davranışı üzerindeki etkisi, zaman-sıcaklık karşılıklılık ilkesi yoluyla belirlenir. Bu ilkenin matematiksel formu şu şekildedir:

Burada γt, kısaltılan zaman ve γ ise kayma fonksiyonudur. Fonksiyonu yakınsamak için WLF (Williams-Landel-Ferry) denklemi kullanılır:

Burada T0 genellikle Camsı geçiş sıcaklığı olarak seçilen referans sıcaklıktır; C1 ve C2, malzemeye bağımlı sabitlerdir.
Parametre |
Malzeme Özelliği |
Doğrusal Elastik Parametreler |
X'te elastisite modülü |
XY'de Poisson oranı |
XY'de yırtılma modülü |
Gevşeme Fonksiyonu Parametreleri |
Yırtılma gevşeme modülü (1-8) (Genelleştirilmiş Maxwell Modeli denklemlerindeki g1, g2,...,g8 bileşenlerini gösterir)
|
Zaman değerleri (Yırtılma gevşeme modülü 1-8) (Genelleştirilmiş Maxwell Modeli denklemlerindeki τ1g, τ2g,..., τ8g bileşenlerini gösterir) |
Bulk Gevşeme Modülü (1-8) |
Zaman değerleri (Bulk gevşeme modülü 1-8) (Genelleştirilmiş Maxwell Modeli denklemlerindeki τ1k, τ2k,..., τ8k bileşenlerini gösterir) |
WLF Denklemi Parametreleri |
Camsı Geçiş Sıcaklığı (WLF denklemindeki T0 bileşenini gösterir)
|
Williams-Landel-Ferry denklemi için İlk Sabit (WLF denklemindeki C1 bileşenini gösterir)
|
Williams-Landel-Ferry denklemi için İkinci Sabit (WLF denklemindeki C2 bileşenini gösterir)
|
Tablolar ve Eğriler sekmesinde bir yırtılma veya bulk gevşeme eğrisi tanımlanırken, eğrinin ilk noktası t1 zaman noktasındaki G1 veya K1 modülüdür. t = 0 zaman noktasında, program G0 veya K0 değerini Elastisite modülü ve Poisson oranından otomatik olarak hesaplar.
Viskoelastik malzeme modeli, draft ve yüksek kaliteli katı ve kalın kabuk elemanlarla birlikte kullanılabilir.
Viskoelastik malzeme modelini kullandığınızda, zaman doğrusal olmayan analizdeki gerçek değerlere sahiptir.