Expand IntroduçãoIntrodução
Expand AdministraçãoAdministração
Expand Interface do usuárioInterface do usuário
Expand Fundamentos do SOLIDWORKS Fundamentos do SOLIDWORKS
Expand Mudando de 2D para 3DMudando de 2D para 3D
Expand MontagensMontagens
Expand CircuitWorksCircuitWorks
Expand ConfiguraçõesConfigurações
Expand SOLIDWORKS CostingSOLIDWORKS Costing
Expand Design CheckerDesign Checker
Expand Estudos de Projeto no SOLIDWORKSEstudos de Projeto no SOLIDWORKS
Expand Detalhamento e desenhosDetalhamento e desenhos
Expand DFMXpressDFMXpress
Expand DriveWorksXpressDriveWorksXpress
Expand FloXpressFloXpress
Expand Troca de dados SLDXMLTroca de dados SLDXML
Expand Importar e exportarImportar e exportar
Expand Exibição de modeloExibição de modelo
Expand Projeto de moldesProjeto de moldes
Expand Estudos de movimentoEstudos de movimento
Expand Peças e recursosPeças e recursos
Expand RotaRota
Expand Chapa metálicaChapa metálica
Collapse SimulaçãoSimulação
Expand SimulationXpressSimulationXpress
Expand Geração de esboçoGeração de esboço
Expand SOLIDWORKS MBD SOLIDWORKS MBD
Expand SOLIDWORKS UtilitiesSOLIDWORKS Utilities
Expand SOLIDWORKS SustainabilitySOLIDWORKS Sustainability
Expand TolerânciasTolerâncias
Expand TolAnalystTolAnalyst
Expand ToolboxToolbox
Expand SoldagensSoldagens
Expand Workgroup PDMWorkgroup PDM
Expand Solução de problemasSolução de problemas
Glossário
Ocultar Sumário

Modelo elástico não linear

A ilustração a seguir mostra uma curva de tensão-deformação típica de um modelo de material não linear:

fig_1.gif

Para o caso específico de históricos de tensões relacionados a carregamentos proporcionais, onde os componentes do tensor de tensão variam monotonicamente com uma razão constante entre si, as deformações podem ser expressas em termos do estado final da tensão, da seguinte forma:

7.gif

Ds é a matriz de material da secante, Es é o módulo da secante, v é o coeficiente de Poisson

Para incorporar este modelo, precisam ser definidos o coeficiente de Poisson NUXY e a curva tensão-deformação do material.

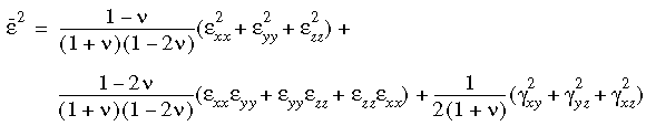
O vetor de deformação total ε é usado para calcular a deformação efetiva ε(bar) para obter o módulo de secante da curva (tensão-deformação) do material definido pelo usuário. Para os casos tridimensionais,

8.gif

A curva de tensão-deformação do terceiro quadrante (compressivo) para o primeiro (tração) são aplicáveis a este modelo para dois e três elementos dimensionais com algumas modificações. Um método de interpolação é usado para obtenção dos módulos da secante e da tangente. Ao definir o coeficiente R que é uma função da deformação volumétrica Φ, deformação efetiva e coeficiente de Poisson, R tem a seguinte expressão:

9.gif

 Nota-se que R = 1 representa o caso da tração uniaxial e R = -1, o caso da compressão. Esses dois casos são configurados para serem os limites mais alto e mais baixo, de tal forma que quando R exceder esses dois valores, o programa o levará novamente para o limite. O modelo não linear de material elástico pode ser usado com sólidos e malhas de casca.



Envie-nos seus comentários sobre este tópico

O SOLIDWORKS agradece seu feedback sobre a apresentação, precisão e nível de detalhe da documentação. Use o formulário abaixo para enviar comentários e sugestões sobre este tópico diretamente à equipe responsável pela documentação. Esta equipe não responde a perguntas de suporte técnico. Clique aqui para ver informações específicas do suporte técnico.

* Obrigatório

 
*E-mail:  
Assunto:   Comentários sobre os tópicos da Ajuda
Página:   Modelo elástico não linear
*Comentário:  
*   Eu reconheço que li e aceito, por meio deste, a política de privacidade segundo a qual meus Dados pessoais serão usados pela Dassault Systèmes

Imprimir tópico

Selecione o escopo do conteúdo a imprimir:

x

Foi detectada uma versão de navegador anterior ao Internet Explorer 7. Para uma exibição otimizada, sugerimos a atualização para o Internet Explorer 7 ou posterior.

 Não mostrar essa mensagem novamente
x

Versão do conteúdo de ajuda on-line: SOLIDWORKS 2016 SP05

Para desativar a Ajuda online no SOLIDWORKS e usar a Ajuda local, clique em Ajuda > Usar Ajuda on-line do SOLIDWORKS.

Para relatar problemas encontrados na interface e na pesquisa da Ajuda on-line, consulte seu representante de suporte local. Para fornecer comentários sobre tópicos individuais da Ajuda, use o link “Comentários sobre este tópico” na página do tópico individual.