n x n 對稱阻尼矩陣 [C] 用公式表示為質量 [M] 和勁度 [K] 矩陣的線性組合:
(方程式 1)
-
Alpha 係數: 設定質量比例係數 α。
-
Beta 係數: 設定勁度比例係數 β。
(方程式 1) 所描述的阻尼類型稱為 Rayleigh 或比例阻尼。
此 [C] 形式與系統特徵向量正交。
藉由套用形式座標轉換,形式阻尼矩陣 [c] 會變成對角:
(方程式 2)
您可以為線性及非線性動態研究定義 Rayleigh 阻尼。
Rayleigh 係數與形式阻尼比例的限制條件
形式阻尼矩陣 [c] 的計算公式如下:
(方程式 3)
第 i 個模式的黏性阻尼 ci 係數是由以下所計算:
(方程式 4),
黏滯阻尼比 ζi 則表示為
(方程式 5)
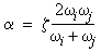
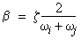
如果第 i 個和第 j 個模式的阻尼比例為 ζi 和 ζj,則 Rayleigh 係數 α and β 是透過兩個代數方程式的解答計算:
(方程式 6)
若兩個模式的濕化率 ( ζi = ζj = ζ) 相同,則 α 及 β 值如下所示:
(方程式 7)
(方程式 8)
隨頻率變化的任何其他模式的黏性阻尼比例 ζ 如下圖所示:
