隱藏目錄

線性彈力異向模型

相對於等向性材料,正交性材料係於相互垂直的特定方向具有強度。於該等方向 (亦即所謂的主方向) 上的屬性是為彈性係數的極限值。

正交性材料的 [D] 矩陣具有九項獨立的彈性屬性。此外並具有三項熱膨脹屬性。

2D 正交應力-應變關係

在二維空間中,包含溫度效應的正交應力-應變關係可如下式表示:

請注意,為滿足彈性模數矩陣的對稱性,必須 νxy Ey = νyx Ex

當您輸入彈性模數或 Poisson 比的數值時,需滿足上述的對稱條件。

再者,如果您未輸入剪力模數的數值,程式將以下列公式計算其值:

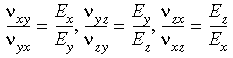
在三維空間中,正交性對稱條件定為:

因此當您在三維空間中輸入正交性材料屬性時,必須確定不會違背上述的對稱條件。

請注意,如果您未輸入剪力模數的數值,則程式將使用下列公式的關係計算其值:

如果 Ex = Ey = Ez,即使已明確定義剪力模數,程式仍會執行內部運計算來求出其值。如未明確定義 Poisson 比,程式會假設其值為 0.0。



提供對此主題的意見反應

SOLIDWORKS 歡迎您提供有關於文件呈現方式、正確性、及完整性的意見反應。請使用下方的表格直接將您對此主題的意見與建議傳送給我們的文件團隊。文件團隊並無法回答關於技術支援的問題。按一下此處來獲得關於技術支援的資訊

* 必要的

 
*電子郵件:  
主旨:   說明主題的意見反應
頁面:   線性彈力異向模型
*意見:  
*   我承認已閱讀且僅此接受隱私權政策,Dassault Systèmes 將遵循此政策之規定使用我的個人資料

列印主題

選擇要列印的內容範圍:

x

偵測到您使用的瀏覽器版本是舊於 Internet Explorer 7。要獲得最佳的顯示,建議您升級瀏覽器到 Internet Explorer 7 或更新的版本。

 不要再次顯示此訊息
x

Web 式說明內容版本:SOLIDWORKS 2016 SP05

要從 SOLIDWORKS 中停用 Web 式的說明並改用本機說明,請按一下說明 > 使用 SOLIDWORKS Web 式說明

要報告在 Web 式說明介面及搜尋中遇到的問題,請聯絡您當地的技術支援代表。要針對個別說明主題提供意見反應,請使用個別主題頁面中的「提供對此主題的意見反應」連結。