隱藏目錄

可塑性 - Tresca 模型

此準則係假定在降伏狀態中,在介質的所有點上的最大剪應力皆同,且等於在對已知材料所做的單軸向張力測試而得的降伏應力的一半。

在三維空間的情況中,若滿足下列至少任一項不等式時,即發生降伏:

換句話說,降伏係根據最大剪應力而定,而該最大剪應力等於最大與最小主應力之差的一半。根據此準則,中間主應力不會影響降伏狀態。

在某些設計法規和參考中,Tresca 同等應力定義為等於 (σ1 – σ3) 的兩倍最大剪應力,或是應力強度。

剪應力強度

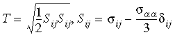
剪應力強度係定義為應力偏量的第二不變量之平方根,可以下式表示:

純剪力狀態

純剪力狀態定義如下:

在此狀態中,剪應力強度與最大剪應力相等:

根據 Tresca 條件可求出降伏點的剪應力為拉伸降伏應力的一半:

根據 von Mises 降伏準則,剪降伏應力等於:

  • 等向及動性硬化定律均可在 Tresca 模型中使用。當在偏向空間中的降伏曲面的半徑及中心可相對於負載歷程變化時,會套用等向及動性硬化的線性組合。
  • 硬化係數定義等向及動性硬化的比例。
  • 對於純粹的等向硬化,硬化係數有 0 的值。降伏曲面的半徑會伸展,但其中心仍保持固定在偏向空間中。
  • 對於純粹的動性硬化,硬化係數有 1 的值。降伏曲面的半徑會保持固定,但其中心可在偏向空間中移動。


提供對此主題的意見反應

SOLIDWORKS 歡迎您提供有關於文件呈現方式、正確性、及完整性的意見反應。請使用下方的表格直接將您對此主題的意見與建議傳送給我們的文件團隊。文件團隊並無法回答關於技術支援的問題。按一下此處來獲得關於技術支援的資訊

* 必要的

 
*電子郵件:  
主旨:   說明主題的意見反應
頁面:   可塑性 - Tresca 模型
*意見:  
*   我承認已閱讀且僅此接受隱私權政策,Dassault Systèmes 將遵循此政策之規定使用我的個人資料

列印主題

選擇要列印的內容範圍:

x

偵測到您使用的瀏覽器版本是舊於 Internet Explorer 7。要獲得最佳的顯示,建議您升級瀏覽器到 Internet Explorer 7 或更新的版本。

 不要再次顯示此訊息
x

Web 式說明內容版本:SOLIDWORKS 2016 SP05

要從 SOLIDWORKS 中停用 Web 式的說明並改用本機說明,請按一下說明 > 使用 SOLIDWORKS Web 式說明

要報告在 Web 式說明介面及搜尋中遇到的問題,請聯絡您當地的技術支援代表。要針對個別說明主題提供意見反應,請使用個別主題頁面中的「提供對此主題的意見反應」連結。