n x n simetrik sönümleme matrisi [C]; kütle [M] ve sertlik [K] matrislerinin bir doğrusal kombinasyonu olarak formüle edilir:
(Denklem 1)
-
Alfa Katsayısı: Kütle orantılı katsayı α'yı ayarlar.
-
Beta Katsayısı: Sertlik orantılı katsayı β'yı ayarlar.
(Denklem 1) tarafından tanımlanan sönümleme tipine, Rayleigh veya orantılı sönümleme denir.
Bu [C] formu, sistem özvektörlerine ortogonaldir.
Modal koordinat dönüşümü uygulandığında modal sönümleme matrisi [c] diyagonal olur:
(Denklem 2)
Rayleigh sönümlemeyi, doğrusal ve doğrusal olmayan dinamik etütler için tanımlayabilirsiniz.
Rayleigh Katsayıları ile Modal Sönümleme Oranının İlişkisi
Model sönümleme matrisi [c] şu şekilde belirlenir:
(Denklem 3)
ith modu için visköz sönümleme katsayısı ci şu şekilde hesaplanır:
(Denklem 4)
ve visköz sönümleme oranı ζi şu şekilde ifade edilir:
(Denklem 5)
ith ve jth modlarının sönümleme oranları ζi ve ζj ise, Rayleigh katsayıları α ve β iki cebirsel denklemin çözümünden hesaplanır:
(Denklem 6)
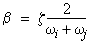
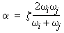
Her iki mod da aynı sönümleme oranına sahipse ( ζi = ζj = ζ), α ve β değerleri şu şekilde belirlenir:
(Denklem 7)
(Denklem 8)
Diğer herhangi bir modun visköz sönümleme oranı ζ, şekilde görüldüğü gibi frekans ile değişir:
