Expand 简介简介
Expand 管理管理
Expand 用户界面用户界面
Expand SOLIDWORKS 基础知识SOLIDWORKS 基础知识
Expand 从 2D 移动到 3D从 2D 移动到 3D
Expand 装配体装配体
Expand CircuitWorksCircuitWorks
Expand 配置配置
Expand SOLIDWORKS CostingSOLIDWORKS Costing
Expand Design CheckerDesign Checker
Expand SOLIDWORKS 中的设计算例SOLIDWORKS 中的设计算例
Expand 出详图和工程图出详图和工程图
Expand DFMXpressDFMXpress
Expand DriveWorksXpressDriveWorksXpress
Expand FloXpressFloXpress
Expand SLDXML 数据交换SLDXML 数据交换
Expand 导入和导出导入和导出
Expand 模型显示模型显示
Expand 模具设计模具设计
Expand 运动算例运动算例
Expand 零件和特征零件和特征
Expand 步路步路
Expand 钣金钣金
Collapse 模拟模拟
Expand SimulationXpressSimulationXpress
Expand 草图绘制草图绘制
Expand SOLIDWORKS MBDSOLIDWORKS MBD
Expand SOLIDWORKS UtilitiesSOLIDWORKS Utilities
Expand SOLIDWORKS SustainabilitySOLIDWORKS Sustainability
Expand 公差公差
Expand TolAnalystTolAnalyst
Expand 工具箱工具箱
Expand 焊件焊件
Expand 工作组 PDM工作组 PDM
Expand 疑难解答疑难解答
词汇表
隐藏目录

分析步骤 - 谐波

谐波分析用于计算系统对谐波载荷的稳态峰值响应。

在每个解算步骤,所有应用载荷和基准激发都具有相同的频率。量由关联的频率曲线定义。

假定谐波节点力向量 {P} 被定义为:

(方程式 1)或 (方程式 2),

其中:

Pk 是 kth 自由度的方向上的力度

ω 是激发频率,

γk 是力的相位角度。

对于线性系统,系统的运动方程式分离为 n 个模态方程式:

(方程式 3)。

将力向量 {P} 替换到(方程式 3)中会形成:

(方程式 4),其中

(方程式 5)

(方程式 4)的稳态解为:

(方程式 6)。

(方程式 6)的实际零件为:

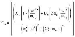
(方程式 7),其中

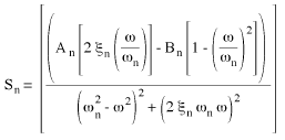
(方程式 8)和

(方程式 9)。

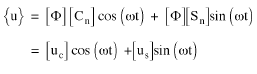
位移向量 u 由以下公式指定:

(方程式 10)或

(方程式 11)

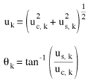
kth 自由度的位移量 uk 和相应的相位角度 θk 为:

(方程式 12)

速度和加速度响应从(方程式 11)的衍生物派生而来。它们的量为:

(方程式 13)

速度和加速度相位角度为 90º 和 180º 异相(相对于位移相位角度)。



提供对该主题的反馈

SOLIDWORKS 欢迎您对此文档的外观、准确性及完整性提供反馈。请使用以下表格,将您对该主题的评论和建议直接发送给我们的文档团队。文档团队不能回答技术支持问题。单击此处获取有关技术支持的信息

* 必填

 
*电子邮件:  
主题:   对帮助主题的反馈
页面:   分析步骤 - 谐波
*评论:  
*   本人确认已阅读并且接受 Dassault Systèmes 按照《隐私政策》使用本人的个人数据

打印主题

选择要打印的内容范围:

x

我们检测到您在使用旧于 Internet Explorer 7 的浏览器版本。为优化显示,我们建议您将您的浏览器升级到 Internet Explorer 7 或以上。

 永不再显示此信息
x

Web 帮助内容版本:SOLIDWORKS 2017 SP05

要从 SOLIDWORKS 中禁用 Web 帮助并使用本地帮助,请单击帮助 > 使用 SOLIDWORKS Web 帮助

要报告在 Web 帮助界面和搜索中所遇到的问题,请联系您的当地支持代表。要提供单个帮助主题的反馈,请使用单个主题页面上的“对该主题的反馈”链接。