Modello ortotropo elastico lineare

Opposto a un materiale isotropo, un materiale ortotropo ha direzioni di forza privilegiate tra loro perpendicolari. Le proprietà lungo queste direzioni (note anche come direzioni principali) sono i valori estremi dei coefficienti di elasticità.

La matrice [D] per un materiale ortotropico ha nove proprietà elastiche indipendenti. Inoltre, esistono tre proprietà per l'espansione termica.

Relazioni di sollecitazione-deformazione ortotrope 2D

In 2D, le relazioni di sollecitazione-deformazione ortotrope possono essere scritte nel modo seguente, inclusi gli effetti di temperatura:

Per soddisfare la simmetria nella matrice dei moduli elastici, νxy Ey = νyx Ex.

è necessario soddisfare la condizione di simmetria precedente quando vengono immessi i valori numerici del modulo elastico o del coefficiente di Poisson.

Inoltre, se non viene specificato il valore numerico del modulo di taglio, verrà calcolato dal software nel modo seguente:

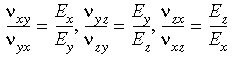
In 3D, le condizioni di simmetria ortotropa impongono:

Quando vengono immesse le proprietà del materiale ortotropo in 3D, è necessario accertare che le condizioni di simmetria sopra descritte non siano violate.

Se si inseriscono i valori numerici per i moduli di taglio (Gxy, Gyz e Gxz), il software utilizzerà questi valori definiti dall'utente (anche se non sono compatibili con le condizioni di simmetria ortropica).

Si osservi che se non vengono specificati i valori numerici dei moduli di taglio, verranno calcolati dal software utilizzando le relazioni seguenti:

If Ex = Ey = Ez, il software calcolerà i moduli di taglio internamente anche se definiti esplicitamente.

Il software assume un valore di 0,0 per il coefficiente di Poisson non definito esplicitamente.