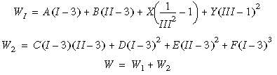
Mooney-Rivlin 歪みエネルギー密度関数は、次のように表されます。
I、II、IIIは、右Cauchy-Green変形テンソルの不変式で主伸張率の観点から表現できます。A、B、C、D、E、Fは、Mooney材料定数です。

材料が非圧縮性に近づくにつれ、第 3 の不変式 III が 1 に近くなりますが、Y は無限に近づくことに注意してください。したがって、0.5 に近いポアソン比の値では、W1 にある最終項がバインドされたままとなり、解を取得できます。
Mooney-Rivlin 材料モデルは、固定要素および厚肉シェルを使用できます。Mooney-Rivlinモデルの材料特性は、材料(Material)ダイアログボックスに入力します。Mooney-Rivlin 定数を 6 つまで入力できます:Mooney_A、Mooney_B、Mooney_C、Mooney_D、Mooney_E、Mooney_F。
Mooney-Rivin 定数は、材料(Material)ダイアログ ボックスで材料定数の計算にカーブデータを使用(Use curve data to compute material constants)オプションを選択すると自動的に計算されます。定数は、スタディのアクティブな結果フォルダの拡張子 .log 付きのテキスト ファイルに保存されます。