積分法(Methods of Integration)

不規則振動解析スタディでは次の積分法が使用されます。

標準解析法(Standard Method)

不規則振動解析の標準解析法は次のようになります:
  1. 各固有モードの周りで特定の周波数点が選択されます。 これらの点の位置は、バイアス パラメータ値 p に依存します。

    バイアス パラメータが 1.0 の場合、すべての周波数点は固有周波数の間に均一に分布されます。バイアス パラメータが 1.0 より大きい場合、点は固有周波数の近くで選択されます。周波数点とバイアス パラメータのデフォルト値は、1 次モードの減衰比 ζ の関数として与えられます。周波数点の選択に関する図を参照するには、ここをクリックします。

    ζ の関数としての周波数点とバイアス パラメータのデフォルト値は次のようになります。

    モーダル減衰比 周波数(デフォルト) バイアス パラメータ(デフォルト)
    ζ < 0.01 21 11
    0.01 < ζ < 0.1 21-4.34 ln(ζ /0.01) 11-3.47 ln(ζ /0.01)
    ζ > 0.1 11 3

    周波数点数バイアス パラメータ の両方にゼロ(0)が定義されている場合、表 1 にあるデフォルト値が適用されます。

  2. 応答のモーダル PSD は各周波数点で評価されます。 周波数比の限界(RATIO)により、あらゆる可能な組み合わせの固有値(wi / wj, i > j)が制限されます。

    これは、各モードで wi / wj > RATIO の場合、相互スペクトル密度条項は無視されるということです。RATIO =1 の場合、周波数比の限界は無視されます。

  3. そこで、モーダル PSD は指定固有値範囲において数値積分され、2乗平均値とモーダル応答の共分散をもたらします。数値積分は、log-log プロットを基に各周波数の間隔において Gauss 積分法の 2 次オーダーあるいは 3 次オーダーを使用し、実行されます。応答の2乗平均値は、間隔の影響を加算することによって得ることができます。
  4. 最後に、モーダルから節点への変換により、システムの RMS 変位、速度、そして加速度がもたらされます。

近似解析法(Approximate Method)

積分法の標準解析法は、大規模な行列の数値積分であるため、計算に時間がかかります。積分法の近似解析法では、次の仮定を基に簡易解が行われます:
  • モード間の応答 Sx(ω) を、つまりモードが別のモードに及ぼす影響を無視することで次のようになります:

    (関係式 1)

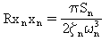
  • 各モードにおいて、励振 PDS が一定とみなされます。そのため、各モードがスペクトル密度 Sn を持つ白色雑音(white noise)によって励振されると仮定されます。ここで:

    (関係式 2)

    ωn はモード n の固有周波数 (n = 1,2,...nf) です。

    白色雑音の場合、モーダル応答の平均2乗応答は解析的に計算されます:

    (関係式 3)

    (関係式 4)

    (関係式 5)