非線形弾性モデル

非線形材料モデルの典型的な応力-ひずみ曲線:

fig_1.gif

応力テンソルの構成部品が互いに一定した比率で単調に異なる比例荷重に関する応力履歴の特定事例の場合、次の形式で歪みを応力の最終状態の項として表現できます。

7.gif

Ds は割線材料マトリックス、Es は割線係数、ν はポアソン比

このモデルを組み込むには、ポアソン比と材料の応力-ひずみ曲線を定義する必要があります。

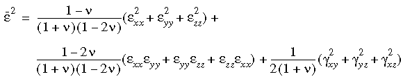
全ひずみベクトル ε はユーザー定義された材料(応力-ひずみ)曲線から割線係数を得るための有効ひずみ ε(bar)を算出するために使用されます。 3 次元の場合:

8.gif

第 3 象限 (圧縮) から第 1 (引張り) 象限までの応力-ひずみ曲線は、一部修正して 2 次元および 3 次元要素のモデルに適用できます。 補間方法は、割線および正接材料係数を得るために使用されます。 体積ひずみ Φ、有効ひずみ、ポアソン比の関数である比率 R を定義します。R には、次の式があります。

9.gif

R = 1 は一軸引張を、またR = -1 は圧縮を表すことに注意してください。これら 2 つの事例は上限および下限として設定されます。R が 2 つの値を超えた場合は、プログラムにより限界値まで下げられます。非線形弾性材料モデルは、固体およびシェルメッシュで使用できます。