Rayleigh-Dämpfung

Die symmetrische Dämpfungsmatrix n x n [C] wird als lineare Kombination von Masse- [M] und Steifigkeitsmatrizen [K] formuliert:

(Gleichung 1)

  • Alpha-Koeffizient: Definiert den masse-proportionalen Koeffizienten α.
  • Beta-Koeffizient: Definiert den steifigkeits-proportionalen Koeffizienten β.

Der in (Gleichung 1) beschriebene Dämpfungstyp wird als Rayleigh- oder proportionale Dämpfung bezeichnet.

Diese Form von [C] ist in Bezug auf die Eigenvektoren des Systems orthogonal.

Durch Anwendung der modalen Koordinatenumwandlung wird die modale Dämpfungsmatrix [c] diagonal:

(Gleichung 2)

Rayleigh-Dämpfung kann für lineare und nicht lineare dynamische Studien definiert werden.

Beziehung zwischen Rayleigh-Koeffizienten und modalem Dämpfungsverhältnis

Die modale Dämpfungsmatrix [c] ist angegeben durch:

(Gleichung 3)

Der Koeffizient der viskosen Dämpfung ci für die ite-Schwingung errechnet sich wie folgt:

(Gleichung 4)

und das viskose Dämpfungsverhältnis ζi wird ausgedrückt durch

(Gleichung 5)

Wenn die Dämpfungsverhältnisse für die ite- und jte-Schwingungen ζi und ζj sind, errechnen sich die Rayleigh-Koeffizienten α und β aus der Lösung der beiden algebraischen Gleichungen:

(Gleichung 6)

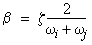
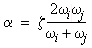
Wenn beide Modi das gleiche Dämpfungsverhältnis (ζi = ζj = ζ) aufweisen, werden die Werte von α und β ausgedrückt durch:

(Gleichung 7) (Gleichung 8)

Das viskose Dämpfungsverhältnis ζ für alle anderen Schwingungen verändert sich in Abhängigkeit von der Frequenz, wie in der Abbildung dargestellt: