Обмен излучением между поверхностями (Излучение от поверхности к поверхности)

Уравнение, упомянутое в предыдущем разделе для оценки скорости обмена энергией с помощью излучения между серым телом и окружающей средой, предполагает, что излучающее тело может видеть только большое окружающее абсолютно черное тело (представляющее собой окружающую среду). Следовательно, предполагается, что вся энергия, испускаемая малым, излучающим телом, абсорбируется окружающей средой.

В ситуациях, когда излучающие тела производят частично обмен излучением, следует ввести понятие коэффициент видимости излучения (F).

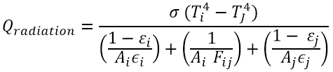
Коэффициент видимости излучения поверхности i в отношении поверхности j определяется как отношение энергии, испускаемой с поверхности i и непосредственно достигающей поверхности j, к общему количеству энергии, покидающей поверхность i. Имея в виду такое определение, получаем, что чистый обмен излучением между поверхностью площадью AI и температурой TI и некоторой поверхностью Aj с температурой Tj задается отношением:

где:

Fij есть конфигурационный фактор поверхности i относительно поверхности j

εi — коэффициент излучения поверхности i.

σ — постоянная Стефана-Больцмана/

Если у двух поверхностей разные коэффициенты излучения εi и εj, чистый радиационный теплообмен задается следующей формулой: