Linear Elastic Isotropic Model

A material is called isotropic if its properties do not vary with direction.

Isotropic materials have identical elastic modulus, Poisson's ratio, coefficient of thermal expansion, thermal conductivity, etc. in all directions. The term isothermal is sometimes used to denote materials with no preferred directions for coefficients of thermal expansion.

In order to define the isotropic elastic properties, you must define the elastic modulus E. The program assumes a value of 0.0 for Poisson's ratio ν, if no specific value is specified. A common value for the Poisson's ratio is 0.3.

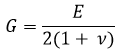
The shear modulus G is calculated internally by the program from the formula:

You do not have to enter a value for a shear modulus for a linear elastic isotropic material. If you enter a value for the shear modulus, the program ignores it and calculates the shear modulus from the above formula.

The stiffness matrix for an isotropic material contains only two independent coefficients. The following sections describe the isotropic stress-strain relations in two- and three-dimensions including the effect of thermal strains.

The most general form of the isotropic stress-strain relations including thermal effects is shown below: