表面之间的辐射交换(表面到表面的辐射)

以前章节中所述的通过辐射在灰体和周围介质之间能量交换速率的方程式假设辐射体只能看到大的封闭黑体(代表周围介质)。 因此,小辐射体发射的所有能量假定由周围介质所吸收。

当两个辐射体部分地交换辐射能时,应该引入辐射视角因数 (F)。

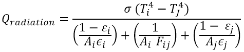
表面 I 对于表面 j 的辐射视角因数被定义为从表面 I 辐射并直接到达表面 j 的能量与离开表面 I 的总能量之比。记住该定义后,面积为 AI、温度为 TI 的表面与面积为 Aj、温度为 Tj 的表面之间的净辐射热交换由以下公式计算出:

其中:

Fij 是表面 i 对于表面 j 的视角因数,

εi 是表面 i 的发射率。

σ 是斯忒藩-玻耳兹曼常数。

当两个表面具有不同的发射率值 εi 和 εj 时,表面之间的净辐射热交换由以下公式计算出: