Select items, set options, and view results for mass properties calculations.
To open the Mass Properties dialog box:
- Click Mass Properties
(Tools toolbar) or .
Selected items |
Select items for which you want to calculate or assign mass properties. When you add, delete, or change items, click Recalculate to display new values.
|
Options |
Launches a dialog box where you can set options to display the results using different units of measure.
See Mass/Section Property Options Dialog Box. |
Override Mass Properties |
Launches a dialog box where you can override values for mass, center of mass, and moments of inertia. See Override Mass Properties Dialog Box. If an assembly contains components with overridden mass properties, those components are listed at the bottom of the Mass Properties dialog box.
|
Include hidden bodies/components |
Select to include hidden bodies and components in the calculations.
|
Create Center of Mass feature |
Adds a Center of Mass feature to the model. |
Report coordinate values relative to |
Select a coordinate system if you have defined one.
|
Print |
Prints the results directly from this dialog box.
|
Copy to Clipboard |
Copies the results to the clipboard.
|
When you save the document, you can update the mass properties information. This enhances system performance, since the next time you access mass properties, the system does not need to recalculate the values (if the document is unchanged). To set this option, click and select Update mass properties while saving document.
Results
Lists the following mass properties:
- Density
- Mass
- Volume
- Surface area
- Center of mass
- Principal axes of inertia
- Moments of inertia and products of inertia
In the graphics area, a single-colored triad indicates the principal axes and
center of mass of the model. A tri-colored reference 3D triad appears at the
origin.
You can use mass properties when defining custom and
configuration-specific properties. Click . In the Properties dialog box,
select the Custom tab or the Configuration Properties tab and click under
Value / Text Expression to access a
drop-down list containing the mass properties.
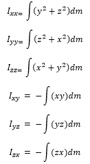
The moments of inertia and products of inertia are calculated to
agree with the following definitions:
 |
 |
Positive tensor notation |
Negative tensor notation |
The inertia tensor matrix is defined below from the moments of
inertia:
 |
 |
Positive tensor notation |
Negative tensor notation |