Boîte de dialogue Propriétés de masse

Sélectionnez des objets, définissez les options et affichez les résultats des calculs de propriétés de masse.

Pour ouvrir la boîte de dialogue Propriétés de masse :

  • Cliquez sur Propriétés de masse (barre d'outils Outils) ou sur Outils > Evaluer > Propriétés de masse.
Objets sélectionnés Sélectionnez les objets pour lesquels vous voulez calculer ou affecter des propriétés de masse. Lorsque vous ajoutez, supprimez ou modifiez des objets, cliquez sur Recalculer pour afficher les nouvelles valeurs.
Options Lance une boîte de dialogue dans laquelle vous pouvez définir les options permettant d'afficher des résultats utilisant différentes unités de mesure. Voir Boîte de dialogue Options des propriétés de masse/section.
Remplacer les propriétés de masse Lance une boîte de dialogue dans laquelle vous pouvez remplacer les valeurs de masse, le centre de gravité et les moments d'inertie. Voir Boîte de dialogue Remplacer les propriétés de masse.
Si un assemblage contient des composants avec des propriétés de masse assignées, ces composants sont répertoriés au bas de la boîte de dialogue Propriétés de masse.
Inclure les corps/composants cachés Sélectionnez cette option pour inclure les corps et composants cachés dans les calculs.
Créer la fonction Centre de masse Ajoute une fonction Centre de masse au modèle.
Indiquer les valeurs de coordonnées relatives à Sélectionnez un système de coordonnées si vous en avez défini un.
Imprimer Imprime les résultats directement à partir de cette boîte de dialogue.
Copier dans le Presse-papiers Copie les résultats dans le presse-papiers.
Lorsque vous enregistrez le document, vous pouvez mettre à jour les informations relatives aux propriétés de masse. Cette action améliore la performance du système puisqu'elle lui évite d'avoir à calculer les valeurs une nouvelle fois lors d'un accès ultérieur à ces propriétés (à condition que le document n'ait pas changé). Pour définir cette option, cliquez sur Outils > Options > Options du système > Performance et sélectionnez Mettre à jour les propriétés de masse lors de l'enregistrement du document.

Résultats

Répertorie les propriétés de masse suivantes:
  • Densité
  • Masse
  • Volume
  • Superficie
  • Centre de masse
  • Axes d'inertie principaux
  • Les moments d'inertie et les produits d'inertie
Dans la zone graphique, un trièdre monochrome indique les axes principaux et le centre de gravité du modèle. Un trièdre de référence 3D tricolore s'affiche à l'origine.
Vous pouvez utiliser des propriétés de masse en définissant les propriétés personnalisées et spécifiques à une configuration. Cliquez sur Fichier > Propriétés . Dans la boîte de dialogue Propriétés, sélectionnez l'onglet Personnaliser ou l'onglet Propriétés de la configuration sous Valeur / Expression de texte pour accéder à une liste déroulante qui contient les propriétés de masse.

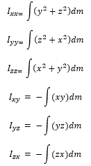
Les moments d'inertie et produits d'inertie sont calculés conformément aux définitions suivantes:

Notation de tenseur positive Notation de tenseur négative

La matrice du tenseur d'inertie est définie ci-dessous à partir des moments d'inertie:

Notation de tenseur positive Notation de tenseur négative