Mooney-Rivlin 변형 에너지 밀도 함수는 다음과 같습니다.
| Mooney-Rivlin 재질 상수 |
에너지 밀도 수식 |
| 2차 상수 공식 |
 |
| 5차 상수 공식 |
 |
| 6차 상수 공식 |
 |
- J1, J2, J3은 우측 코시-그린 변형 텐서의 감소된 불변량이며 주연신율을 기준으로 표현할 수 있습니다
- A, B, C, D, E, F는 Mooney-Rivlin 재질 모델의 1차, 2차, 3차, 4차, 5차, 6차 재질 상수입니다. 재질 속성 대화 상자에 이러한 상수를 입력합니다.
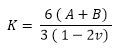
, = 포아송비
재질이 비압축률에 접근하면 세 번째 불변량 III은 항등식에 접근합니다. 여기서 K는 무한대로 접근합니다. 따라서 0.5에 가까운 포아송비 값의 경우 W1의 마지막 항은 유계로 유지되며 해를 구할 수 있게 됩니다.
Mooney-Rivlin 재질 모델을 솔리드 요소와 두꺼운 쉘에 사용할 수 있습니다.
재질 대화 상자에서 재질 상수를 계산하기 위해 곡선 데이터 사용 옵션을 선택하면 Mooney-Rivlin 상수가 자동으로 계산됩니다. 상수는 작업 중인 스터디의 결과 폴더에 확장명이 .log인 텍스트 파일로 저장됩니다.