Tensão de von Mises máxima
|
σlimit / σvonMises
|
Maleável
|
Tensão de cisalhamento máxima
|
σlimite / (2 * τmáx) |
Maleável
|
Tensão de Mohr-Coulomb
|
- σ1 > σ 2 > σ3,
Se (σ1> 0 e σ3 > 0), então (σ1 ≥ σLimite de tensão)
Se (σ1< 0 e σ3 < 0), então (|σ3| ≥ σLimite de compressão)
-
Se (σ1> 0 e σ3 <0), então (σ1 / σLimite de tensão + |σ3| / σLimite de compressão ≥1)
Quando a terceira tensão principal σ3 estiver em compressão (negativa), os dois valores de σ3 e o limite de compressão do material terão sinais positivos para o cálculo de FOS.
|
Materiais friáveis com forças de tensão e compressão diferentes
|
Tensão normal máxima
|
σlimit / σ1 |
Friável
|
Critério de tensão máxima (compostos)
|
 FOS = 1/F.I.
|
Friável
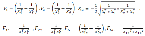
1 e 2 indicam as direções do material. X e S são as resistências normal e de cisalhamento do composto.
|
Critério de falha de Tsai-Hill (compostos) |
FOS = 1 / SQRT (F.I.)
|
Friável
|
Critério de falha de Tsai-Wu (compostos)
|
|
Friável
|