Troca de radiação entre superfícies (Radiação superfície a superfície)

A equação mencionada na seção anterior, que trata da taxa de troca de energia por radiação entre um corpo cinza e o meio circundante, presumia que o corpo irradiante só poderia enxergar o grande corpo negro envolvente (que representa o meio circundante). Portanto, toda energia emitida pelo corpo pequeno e radiante é presumida como absorvida pelo meio circundante.

Em situações onde dois corpos irradiantes trocam parcialmente energia de radiação, o fator de vista de radiação (F) deve ser introduzido.

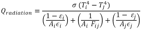
O fator de vista de radiação da superfície i em relação à superfície j é definido como a razão entre a energia irradiada da face i que atinge diretamente a superfície j e o total de energia que deixa a superfície i. Com esta definição em mente, a troca de radiação de calor líquida entre uma superfície de área Ai e temperatura Ti e outra, de área Aj e temperatura Tj é dada por:

onde:

Fij é o fator de vista da superfície i em relação à superfície j

eii é a emissividade da superfície i

σ é a constante de Stefan-Boltzmann.

Quando duas superfícies têm diferentes valores de emissividade εi e εj, a troca de calor por radiação líquida entre as superfícies é dada por: