Os materiais elásticos, tendo a capacidade de dissipar a energia mecânica devido aos efeitos viscosos, são caracterizados como materiais viscoelásticos.
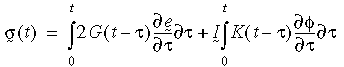
Para estados de tensão multiaxial, a relação constitutiva pode ser escrita como:
onde: e(bar) e φ são deformações relativa e volumétrica, G(t - ) e K(t - ) são funções de relaxamento de cisalhamento e de relaxamento de volume.
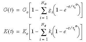
As funções de relaxamento podem ser representadas pelo modelo mecânico conhecido como Generalized Maxwell Model (modelo generalizado de Maxwell) com três expressões:
onde: G0 = E / 2(1+ ν), módulo de cisalhamento inicial (t=0)
e K0= E / 3(1 -2ν), módulo de volume inicial (t=0)
gi, ki, τi
G, e τi
K são os módulos de cisalhamento e volume e períodos correspondentes.

O efeito da temperatura no comportamento do material é introduzido mediante o princípio de correspondência entre o tempo e a temperatura. A forma matemática do princípio é:
em que yt é o tempo reduzido e y é a função de troca. A equação de Williams-Landel-Ferry (WLF) é utilizada para aproximação da função.
em que T0 é a temperatura de referência escolhida geralmente como a temperatura de transição vítrea; C1 e C2 são constantes que dependem do material.
Parâmetro |
Propriedade do material |
Parâmetros elásticos lineares |
Módulo elástico em X
|
Coeficiente de Poisson em xy
|
Módulo de cisalhamento em XY
|
Parâmetros da função relaxamento |
Módulo de relaxamento de cisão (1 a 8) representam g1, g2, ...,g8 nas equações do Modelo de Maxwell Generalizado.
|
Valores de tempo (Módulo de relaxamento de cisão 1 a 8) (representa τ1
g, τ2
g, ... , τ8
g nas equações do Modelo Generalizado de Maxwell) |
Módulo de relaxamento de cisão (1 a 8) |
Valores de tempo (Módulo de relaxamento de cisão 1 a 8) (representa τ1
g, τ2
g, ... , τ8
g nas equações do Modelo Generalizado de Maxwell) |
Parâmetros da equação WLF
|
Temperatura de Transição Vítrea
representa T0 na equação WLF
|
Primeira constante da equação Williams-Landel-Ferry
representa C1 na equação WLF
|
Segunda constante da equação Williams-Landel-Ferry
representa C2 na equação WLF
|
Ao definir a curva de relaxamento de cisalhamento ou em massa na guia Tabelas e curvas, o primeiro ponto da curva é o módulo G1 ou K1 módulos no tempo t1. No momento t = 0, o programa calcula automaticamente G0ou K0 a partir do Módulo elástico e do Coeficiente de Poisson.
O modelo de material viscoelástico pode ser usado para elementos de casca espessa ou sólida, de qualidade alta ou de rascunho.
O tempo tem valores reais na análise não linear quando você usa o modelo de material viscoelástico.