Диалоговое окно "Массовые характеристики"

Выберите элементы, задайте параметры и просмотрите результаты вычислений массовых характеристик.

Чтобы открыть диалоговое окно Массовые характеристики:

  • Нажмите Массовые характеристики (панель "Инструменты") или выберите Инструменты > Оценить > Массовые характеристики.
Выбранные элементы Выберите элементы, для которых необходимо рассчитать или назначить массовые характеристики. При добавлении, удалении или изменении элементов нажмите Пересчитать, чтобы отобразить новые значения.
Параметры Открывает диалоговое окно, в котором можно задать параметры отображения результатов в разных единицах измерения. См. Диалоговое окно "Параметры массовых характеристик/свойств разреза"
Переопределить массовые характеристики Открывает диалоговое окно, в котором можно переопределить значения массы, центра тяжести и моментов инерции. См. Диалоговое окно "Скорректировать массовые характеристики"
Если сборка содержит компоненты с переопределенными массовыми характеристиками, эти компоненты перечисляются в нижней части диалогового окна Массовые характеристики.
Включить скрытые тела/компоненты Выберите для включения в расчеты скрытых тел и компонентов.
Создать функцию центра тяжести Добавьте к модели элемент Центр тяжести.
Сообщать значения координат относительно Выберите систему координат, если она была определена.
Печать Печатает результаты напрямую из этого диалогового окна.
Копировать в буфер Копирует результаты в буфер обмена.
При сохранении документа можно обновить данные массовых характеристик. Производительность возрастает, т. к. при следующем обращении к массовым характеристикам, системе не нужно будет пересчитывать их значения (если документ не изменялся). Чтоб установить этот параметр, нажмите Инструменты > Параметры > Настройки пользователя > Производительность и выберите Обновить массовые характеристики при сохранении документа.

Результаты

Перечисляются следующие массовые характеристики:
  • Плотность
  • Масса
  • Объем
  • Площадь поверхности
  • Центр масс
  • Главные оси инерции
  • Моменты инерции и компоненты тензора инерции
Одноцветная триада в графической области указывает на главные оси и центр масс модели. Трехцветная трехмерная триада отображается в исходной точке.
Массовые характеристики можно использовать при определении пользовательских и связанных с конфигурацией параметров. Нажмите Файл > Свойства . В диалоговом окне Свойства выберите вкладку Пользовательские или вкладку Связанные с конфигурацией и нажмите Значение/текстовое выражение, чтобы открыть раскрывающийся список с массовыми характеристиками.

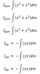
Моменты инерции и компоненты тензора инерции вычисляются в соответствии со следующими определениями:

Представление положительных значений тензора Представление отрицательных значений тензора

Матрица тензора инерции определена ниже на основе моментов инерции:

Представление положительных значений тензора Представление отрицательных значений тензора