Mooney - Rivlin 超弹性模型

Mooney-Rivlin 应变能密度函数表示为:

Mooney-Rivlin 材料常量 能量密度方程式
双常量公式
五常量公式
六常量公式

  • JI、J2 和 J3 是右侧 Cauchy-Green 变形张量的减小不变量,可以用主伸展比率表示
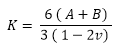
  • A、B、C、D、E 和 F 是 Mooney-Rivlin 材料模型的第一个、第二个、第三个、第四个、第五个和第六个材料常量。 在材料属性对话框中输入这些常量。
  • , = 泊松比

必须注意到,当材料接近不可压缩时,第三不变量 III 会接近 1,而 K 则接近无穷大。 因此,如果泊松比的数值接近 0.5,W1 中的最后一项仍然有界,则可以得到解。

Mooney-Rivlin 材料模型可以用于实体单元和厚壳体。

当在材料对话框中选择了使用曲线数据来计算材料常量选项时,将自动计算 Mooney-Rivlin 常量。 这些常量保存在活动算例的结果文件夹下一个扩展名为 .log 的文本文件中。