Dialogové okno Fyzikální vlastnosti

Můžete vybrat položky, nastavit možnosti a zobrazit výsledky výpočtů fyzikálních vlastností.

Otevření dialogového okna Fyzikální vlastnosti:

  • Klikněte na Fyzikální vlastnosti (panel nástrojů Nástroje) nebo na Nástroje > Analýzy > Fyzikální vlastnosti.
Vybrané položky Vyberte položky, pro které chcete spočítat nebo přiřadit fyzikální vlastnosti. Poté, co přidáte, odstraníte nebo změníte položky, klepněte na Přepočítat a budou zobrazeny nové hodnoty.
Možnosti Otevře dialogové okno, kde můžete nastavit možnosti zobrazení výsledků pomocí různých měrných jednotek Viz Okno možnosti vlastností hlavní části/řezu.
Přehodnocené fyzikální vlastnosti Otevře dialogové okno, kde lze přepsat hodnoty hmotnosti, těžiště a momentu setrvačnosti. Viz Okno Přepsat vlastnosti hmoty
Pokud sestava obsahuje součásti s přepsanými fyzikálními vlastnostmi, jsou tyto součásti uvedeny v dolní části okna Fyzikální vlastnosti.
Zahrnout skrytá tělesa/součásti Vyberte, pokud chcete do výpočtů zahrnout těla a součásti.
Funkce Vytvořit těžiště Přidá do modelu prvek Těžiště.
Oznámí hodnoty souřadnic vzhledem k Vyberte souřadný systém, pokud jste jej určili.
Tisk Tiskne výsledky přímo z tohoto dialogu.
Kopírovat do schránky Kopíruje výsledky do schránky.
 Když uložíte dokument, můžete aktualizovat informace o fyzikálních vlastnostech. Tím zvýšíte výkon svého systému, protože při vašem dalším přístupu k fyzikálním vlastnostem nemusí systém hodnoty přepočítávat (pokud zůstal dokument nezměněn). Tuto možnost nastavíte klepnutím na Nástroje > Možnosti > Možnosti systému > Výkon a výběrem možnosti Aktualizovat fyzikální vlastnosti při ukládání dokumentu.

Výsledky

Přidejte následující fyzikální vlastnosti:
  • Hustota:
  • Hmota
  • Svazek
  • Povrchová plocha
  • Těžiště
  • Hlavní osy setrvačnosti
  • Momenty setrvačnosti a momenty setrvačnosti hmoty
Jednobarevný osový kříž v grafické oblasti označuje hlavní osy a těžiště modelu. V počátku se zobrazí tříbarevný 3D osový kříž.
Fyzikální vlastnosti můžete využít při definování uživatelských vlastností a vlastností specifických pro konkrétní konfiguraci. Klikněte na Soubor > Vlastnosti . V dialogovém okně Vlastnosti přejděte na záložku Vlastní nebo Vlastnosti konfigurace a kliknutím v části Hodnota / textový výraz přejděte do rozevíracího seznamu s fyzikálními vlastnostmi.

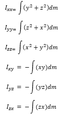
Momenty setrvačnosti a momenty odstředivosti jsou vypočítány v souladu s následujícími definicemi:

Pozitivní tenzorový zápis Negativní tenzorový zápis

Tenzorová matice setrvačnosti je definovaná níže z momentu setrvačnosti:

Pozitivní tenzorový zápis Negativní tenzorový zápis