Selezionare elementi, impostare le opzioni e visualizzare i risultati per i calcoli delle proprietà di massa.
Per aprire la finestra di dialogo Proprietà di massa:
- Fare clic su Proprietà di massa
(barra degli strumenti Strumenti), oppure su .
Elementi selezionati
|
Selezionare gli elementi per i quali si vogliono calcolare o assegnare le proprietà di massa. Quando si aggiungono, cancellano o cambiano gli elementi, fare clic su Ricalcola per visualizzare i nuovi valori. |
Opzioni
|
Apre una finestra di dialogo in cui è possibile impostare le opzioni per visualizzare i risultati in unità di misura diverse. Vedere Finestra di dialogo Opzioni Proprietà di massa/sezione. |
Sovrascrivi proprietà di massa
|
Apre una finestra di dialogo in cui è possibile sovrascrivere i valori per massa, centro della massa e momenti di inerzia. Vedere Finestra di dialogo Sovrascrivi proprietà di massa. Se un assieme contiene componenti con proprietà di massa sovrascritte, questi componenti sono elencati nella parte inferiore della finestra di dialogo Proprietà di massa.
|
Includi i corpi/componenti nascosti
|
Selezionare per includere i corpi nascosti e i componenti nei calcoli. |
Crea funzione Centro di massa
|
Aggiunge una funzione Centro di massa al modello. |
Segnala valori coordinate relativi a
|
Selezionare un sistema di coordinate se ne è stato definito uno. |
Stampa
|
Stampa i risultati direttamente da questa finestra di dialogo. |
Copia negli appunti
|
Copia i risultati negli Appunti |
Quando si salva il documento, le informazioni delle proprietà di massa possono essere aggiornate. Ciò migliora la prestazione del sistema, dall'accesso successivo alle proprietà di massa, il sistema non ha bisogno di ricalcolare i valori (se il documento non è stato modificato). Per impostare questa opzione, fare clic su e selezionare Aggiorna proprietà di massa durante il salvataggio del documento.
Risultati
Elenca le seguenti proprietà di massa:
- Densità
- Massa
- Volume
- Area di superficie
- Centro di massa
- Assi di inerzia principali
- Momenti di inerzia e prodotti di inerzia
Nell'area grafica, una terna a un solo colore indica gli assi principali ed il centro di massa del modello. Una terna tricolore 3D di riferimento viene visualizzata all'origine.
È possibile utilizzare proprietà di massa quando si definiscono proprietà personalizzate e specifiche per la configurazione. Fare clic su . Nella finestra di dialogo Proprietà, selezionare la scheda Personalizzata o la scheda Proprietà di configurazione e fare clic su Valore/Espressione del testo per accedere a un elenco a discesa che contiene le proprietà di massa.
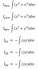
I momenti di inerzia e i prodotti di inerzia vengono calcolati in modo che siano concordi con le seguenti definizioni:
 |
 |
Notazione tensoriale positiva |
Notazione tensoriale negativa |
La matrice del tensore d'inerzia è definita di seguito dai momenti di inerzia:
 |
 |
Notazione tensoriale positiva |
Notazione tensoriale negativa |