解析方法 - 調和(Analysis Procedure - Harmonic)

調和解析は調和荷重に対するシステムの定常最大応答を評価します。

各解析ステップで、すべての加えられた荷重と地盤振動は同一周波数を持つとします。大きさは関連する固有値カーブによって定義されます。

調和節点力ベクトル {P} は次のように仮定します:

(関係式 1) あるいは (関係式 2)

ここで、

Pk は kth 自由度方向の力の大きさ

ω は励振周波数

γk は力の方位角です。

線形システムでは、システムの運動方程式は n モーダル方程式に結合解除されます:

(関係式 3)

力ベクトル {P} を (関係式 3) に置き換えると次の結果になります:

(関係式 4) ここで、

(関係式 5)

定常解析の結果を (関係式 4) にすると:

(関係式 6)

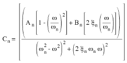
(関係式 6) の実数部は:

(関係式 7) ここで、

(関係式 8)と

(関係式 9)

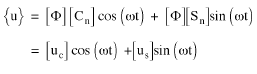
変位ベクトル u は次により与えられます:

(関係式 10) あるいは

(関係式 11)

kth 自由度における変位 uk の大きさと対応位相角 θk は:

(関係式 12)

速度と加速度の応答は (関係式 11) の導関数によって導かれます。振幅は:

(関係式 13)

速度と加速度の位相角は、変位位相角に対して 90°と 180°ほどずれます。