Mooney - Rivlin 超弾性モデル

Mooney-Rivlin 歪みエネルギー密度関数は、次のように表されます。

Mooney-Rivlin 材料定数 エネルギー密度関係式
2 定数の定式化
5 定数の定式化
6 定数の定式化

  • J1、J2、J3 は右 Cauchy-Green 変形テンソルの減少不変量であり、主伸張率で表すことができます
  • A、B、C、D、E、F は、Mooney-Rivlin 材料モデルの第 1、第 2、第 3、第 4、第 5、および第 6 材料定数です。 これらの定数は、材料特性(Material properties)ダイアログ ボックスに入力します。
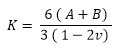
  • 、 = ポアソン比

材料が非圧縮性に近づくにつれ、第 3 の不変式 III が 1 に近くなりますが、K は無限に近づくことに注意してください。 したがって、0.5 に近いポアソン比の値では、W1 にある最終項がバインドされたままとなり、解を取得できます。

Mooney-Rivlin 材料モデルは、固定要素および厚肉シェルを使用できます。

Mooney-Rivlin 定数は、材料(Material)ダイアログ ボックスで材料定数の計算にカーブ データを使用(Use curve data to compute material constants)オプションを選択すると自動的に計算されます。 定数は、アクティブなスタディの結果フォルダの拡張子 .log 付きのテキスト ファイルに保存されます。