Tsai-Wu 破壊基準(Tsai-Wu Failure Criterion)

Tsai-Wu 基準は、複合異方性シェルの安全率を判断するために適用します。

この判定基準は、予測できる破壊の、全体のひずみエネルギー(せん断エネルギーと拡張エネルギーの両方)を考慮します。それは圧縮と引張りの破壊強さを区別するので、Tsai-Hill 破壊基準より一般的です。

2D 状態平面応力(σ3 = 0、τ13 =0、τ23 =0)の場合、Tsai-Wu 破壊基準は次のように表されます。

TsaiWU_Failure_Index

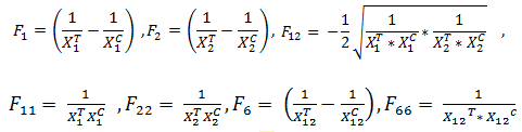
異方性 Tsai-Wu 破壊基準の係数 Fij は、薄層の材料強度パラメータに関係し、実験によって判断できます。これは、次の公式から計算されます。

TsaiWu_Coefficients

XT 1 繊維方向に沿った材料の引張り強度
XC 1 繊維方向に沿った材料の圧縮強度
XT 2 繊維方向を横断する材料の引張り強度
XC 2 繊維方向を横断する材料の圧縮強度
XT 12 ラミネートの正のせん断強度
XC 12 ラミネートの負のせん断強度(ソルバは、正のせん断強度と同じであると見なします)

プログラムで計算される薄層の応力状態は、構成部品で説明されます。σ1、σ2、および τ12

σ1 繊維方向に沿ったラミネート応力
σ2 繊維方向を横断するラミネート応力
τ12 ラミネートせん断応力

複合の層材料方向(Composite Ply Material Directions)

composite_material_directions.gif

方向 1 は、層繊維方向を示します。

方向 2 は、層平面の繊維を横断する方向を示します。

安全率

プログラムは、安全率(FOS)をレポートします。これは、この値をすべてのラミネート応力構成部品に掛けると、上記の Tsai-Wu 基準に従ってラミネート破壊に達するという係数です。ラミネート破壊のFOSは、次のように計算されます。

Tsai-Wu_FOS。ここで、係数は次のようにして得られます。

Tsai-Wu_FOS_Coefficients

安全率が 1.0 より大きい場合、このラミネートは破壊に対して安全です。

Tsai-Wu 破壊基準は、繊維破壊、マトリックス破壊、繊維-マトリックス界面破壊を含めて、異なる破壊モードを推測することができません。