항목을 선택하고, 옵션을 설정하고 물성치 계산 결과를 표시합니다.
물성치 대화 상자를 여는 방법
- 물성치
(도구 도구 모음) 또는 를 클릭합니다.
선택 항목
|
물성치를 계산하거나 지정하고자 하는 항목을 선택합니다. 항목을 추가, 삭제, 변경하면, 다시 계산을 클릭하여 새 값을 표시합니다. |
옵션
|
다양한 측정 단위로 결과를 표시할 수 있는 옵션이 있는 대화 상자를 시작합니다. 물성치/단면 속성 옵션 대화 상자를 참조하십시오. |
물성치 덮어쓰기
|
질량, 질량 중심, 관성 모멘트의 값을 덮어쓸 수 있는 대화 상자를 시작합니다. 물성치 덮어쓰기 대화 상자를 참조하십시오. 어셈블리에 덮어쓴 물성치가 포함된 부품이 있을 경우, 이러한 부품은 물성치 대화 상자 하단에 나열됩니다.
|
숨은 바디/부품 포함
|
숨은 바디와 부품을 계산에 포함시킵니다. |
질량 중심 피처 작성
|
질량 중심 피처를 모델에 추가합니다. |
좌표값 보고 기준
|
아직 지정한 좌표계가 없으면, 좌표계를 선택합니다. |
인쇄
|
이 대화 상자에서 바로 결과를 인쇄합니다. |
클립보드로 복사
|
결과를 클립보드에 복사합니다. |
문서를 저장하면, 물성치 정보가 업데이트 됩니다. 이렇게 하면 다음 번 물성치를 표시할 때 그 값을 다시 계산할 필요가 없어지므로(문서가 변경되지 않은 경우) 시스템 실행을 향상시킵니다. 이 옵션을 설정하려면 을(를) 클릭하고 문서 저장시 물성치 업데이트을(를) 선택합니다.
결과
다음의 물성치가 나열됩니다.
- 밀도
- 질량
- 부피
- 표면적
- 질량 중심
- 주요 관성축
- 관성 모멘트 및 관성곱
그래픽 영역에서 단색 트라이어드는 모델의 주 축과 모델 질량 중심을 나타냅니다. 세 가지 색으로 구성된 3D 트라이어드가 원점에 표시됩니다.
사용자 정의 속성 및 설정별 속성을 정의할 때 물성치를 사용할 수 있습니다. 을 클릭합니다. 속성 대화 상자에서 사용자 정의 탭 또는 설정 속성 탭을 선택하고 값/텍스트 아래를 클릭하여 물성치가 포함된 드롭다운 목록에 액세스합니다.
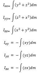
관성 모멘트와 관성 관성곱이 다음 정의에 맞도록 계산됩니다.
 |
 |
양의 텐서 표기법 |
음의 텐서 표기법 |
관성 텐서 행렬이 다음과 같이 관성 모멘트에서 정의됩니다.
 |
 |
양의 텐서 표기법 |
음의 텐서 표기법 |