Die Mooney-Rivlin Dehnungsenergiedichte-Funktion wird wie folgt ausgedrückt:
| Mooney-Rivlin-Materialkonstanten |
Energiedichte-Gleichung |
| Formulierung mit zwei Konstanten |
 |
| Formulierung mit fünf Konstanten |
 |
| Formulierung mit sechs Konstanten |
 |
- JI, J2 und J3 sind die reduzierten Invarianten des rechten Cauchy-Green-Deformationstensors und können in Form von Hauptdehnungsverhältnissen ausgedrückt werden.
- A, B, C, D, E und F sind die ersten, zweiten, dritten, vierten, fünften und sechsten Materialkonstanten des Mooney-Rivlin-Materialmodells. Sie geben diese Konstanten im Dialogfeld Materialeigenschaften ein.
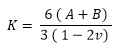
, = Poissonsche Zahl
Folgendes ist zu beachten: Wenn das Material sich der Komprimierungsgrenze nähert, strebt die dritte Invariante (III) gegen 1, während K gegen Unendlich strebt. Daher bleibt für die Werte der Poissonschen Zahl in der Nähe von 0,5 der letzte Term in W1 begrenzt, und eine Lösung kann erhalten werden.
Das Mooney-Rivlin-Materialmodell kann mit Volumenkörperelementen und dickwandigen Schalen verwendet werden.
Die Mooney-Rivlin-Konstanten werden automatisch berechnet, wenn die Option Kurvendaten zur Berechnung der Materialkonstanten verwenden im Dialogfeld Material aktiviert ist. Die Konstanten werden im Ergebnisordner der aktiven Studie in einer Textdatei mit der Erweiterung „.log“ gespeichert.