Modello isotropo elastico lineare

Un materiale è detto isotropico se le sue proprietà non variano con la direzione.

I materiali isotropici hanno modulo elastico, coefficiente di Poisson, coefficiente di espansione termica, conducibilità termica uguali in tutte le direzioni. Il termine isotermico viene talvolta utilizzato per indicare i materiali senza direzioni privilegiate per i coefficienti di espansione termica.

Per definire le proprietà elastiche isotrope, è necessario definire il modulo elastico E. Il programma presume un valore di 0,0 per il coefficiente di Poisson ν, se non viene specificato alcun valore. Un valore comune per il coefficiente di Poisson è 0,3.

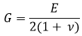
Il modulo di taglio G viene calcolato internamente dal programma utilizzando la formula:

Non è necessario specificare un valore per il modulo di taglio per un materiale isotropico elastico lineare. Se si specifica un valore per il modulo di taglio, il programma lo ignora e calcola il modulo di taglio utilizzando la formula riportata più sopra.

La matrice di rigidità di un materiale isotropo contiene solo due coefficienti indipendenti. Nelle seguenti sezioni vengono descritte le relazioni sollecitazione-deformazione isotrope in 2D e 3D, incluso l'effetto di deformazioni termiche.

Di seguito viene illustrata la forma più generica di relazione sollecitazione-deformazione isotropa con effetti termici: