SOLIDWORKS Simulation rappresenta internamente un connettore a perno come trave con una determinata rigidità assiale o rotazionale. Ogni nodo finale della trave si trova nel centroide della faccia cilindrica collegata (o bordo shell).
Per un tipo di connessione rigida, gli elementi barra rigida collegano i nodi delle estremità della trave ai nodi delle facce cilindriche. Tutte le facce collegate al perno rimangono coassiali sotto carico e mantengono la loro forma originale. Queste facce cilindriche possono spostarsi come corpi rigidi relativamente l'una all'altra a seconda delle caratteristiche di rigidità assiale e rotatoria del connettore a perno. A causa dell'introduzione di regioni rigide, è possibile osservare hotspot di sollecitazione vicino al connettore a perno. Gli hotspot di sollecitazione diminuiscono gradualmente a distanza, fino a scomparire nelle regioni a circa un diametro di distanza dalle facce cilindriche.
Solo per gli studi statici lineari, è possibile selezionare una formulazione di accoppiamento distribuito per i connettori a perno. La distribuzione dell'accoppiamento limita il movimento dei nodi delle facce cilindriche collegate (nodi di accoppiamento) alla traslazione e alla rotazione del nodo finale della trave (nodo di riferimento) in un senso medio. Una connessione distribuita consente ai nodi di accoppiamento di una faccia cilindrica di muoversi l'uno rispetto all'altro. Il tipo di connessione distribuita produce campi di sollecitazione e spostamento più realistici in prossimità dei connettori a perno.
La rigidità assiale di un perno definisce il movimento assiale relativo tra le facce cilindriche (o i bordi circolari) collegate a un perno. La rigidità rotazionale di un perno definisce il movimento rotatorio relativo tra le facce cilindriche (o i bordi circolari). Per un perno che collega più di due facce cilindriche o bordi, il software ridistribuisce le rigidità assiale e rotazionale in base alle caratteristiche geometriche di ogni segmento del perno (ad esempio area di sezione, momento di inerzia polare e lunghezza). Un segmento del perno collega due facce cilindriche consecutive e ha due giunti terminali. Ogni giunto del perno è collocato nel centroide della faccia cilindrica o del bordo circolare collegati.
Elenco delle forze del connettore a perno
Il solutore calcola le forze del connettore a perno sui due giunti terminali di ogni segmento del perno.
Ad esempio, per una definizione a perno singolo che collega quattro cilindri di una piastra incernierata, come mostrato di seguito, il solutore calcola ed elenca le forze del perno nei quattro giunti del perno (nell'ordine dal primo all'ultimo giunto). Ogni giunto del perno è collocato nel centroide di ogni faccia cilindrica collegata a un perno.
Il software elenca quattro forze per ogni giunto del connettore a perno rispetto al sistema di coordinate locale del perno. Viene mostrata un'immagine della sezione trasversale di un perno con le forze del perno calcolate in corrispondenza di un giunto.

- FA = forza assiale sulla sezione trasversale del perno
- FV = forza di taglio sulla sezione trasversale del perno
- Mb = momento flettente
- T = torsione
Una forza assiale positiva indica che il segmento del perno è sotto tensione; una forza assiale negativa indica una compressione. Il software indica i carichi e i momenti che agiscono su un segmento del perno come carichi del connettore a perno sui giunti a perno. Per l'elenco dei carichi del connettore a perno sui giunti a perno, non viene preso in considerazione alcun bilanciamento dei carichi per il segmento del perno.
Per i giunti a perno comuni a segmenti del perno consecutivi, ad esempio il giunto 2 nella figura seguente, il solutore calcola due serie di forze del connettore a perno per i lati sinistro e destro del giunto comune. L'immagine mostra una sezione trasversale di un connettore a perno con due segmenti del perno (di colore blu) collegati a tre facce cilindriche.
Il raggio di un connettore a perno, R, è il raggio della faccia cilindrica o del bordo circolare collegati al perno. I segmenti del perno della definizione di un connettore a perno singolo possono avere raggi diversi.
Il solutore calcola le sollecitazioni von Mises per i lati sinistro e destro del giunto comune. Il software confronta le sollecitazioni von Mises ed elenca la serie di forze del perno (dal lato sinistro o destro) che producono la sollecitazione von Mises più alta.
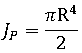
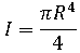
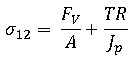
La sollecitazione von Mises per un caso di sollecitazione del piano generale è data da:

,
,
, 
Per il controllo di sicurezza di ammissione/rigetto di un connettore a perno, il software seleziona il giunto del perno con i carichi combinati massimi in base al criterio di sollecitazione von Mises per valutare il fattore di sicurezza del perno. Vedere l'argomento della Guida in linea di SOLIDWORKS Simulation: Connettore a perno - Controllo di sicurezza